Articles | Volume 23, issue 4
https://doi.org/10.5194/bg-23-1545-2026
https://doi.org/10.5194/bg-23-1545-2026
Research article
 | 
27 Feb 2026
Research article |  | 27 Feb 2026

Coupling of soil carbon and water dynamics in two agroforestry systems in Malawi

Svenja Hoffmeister, Sibylle Kathrin Hassler, Rebekka Maier, Friederike Lang, Betserai Isaac Nyoka, and Erwin Zehe
Abstract

Consequences of climate change are likely to pose severe challenges on agriculture in Southern Africa. Agroforestry systems (AFSs) can potentially alleviate some of the adverse effects and offer adaptation solutions to a sustainable land use. Positive effects of AFSs may include increasing soil carbon (C) and nitrogen concentrations, sustaining favourable nutrient cycling, protection against erosion and increased carbon sequestration. The influence of the AFS tree component on the soil water storage and thus water availability for the crops, however, is still relatively unknown.

In this study we assessed the influence of Gliricidia sepium-maize intercropping on carbon cycling and water fluxes compared to maize as a sole crop at two well-established long-term experiments in central and southern Malawi, run by the World Agroforestry (ICRAF). Utilizing the field experiments of different durations (>10 and >30 years) at the two sites provided information regarding soil-specific impacts of gliricidia on water dynamics. We examined soil C contents and density fractionation as proxy for organic matter stability, soil physical and soil hydrological characteristics. We also monitored soil moisture and matric potential in different depths, determined retention curves on samples in the lab and from field data and analysed soil moisture responses to rainfall events to assess the influence of the AFS on water fluxes.

Our results show a clear increase in C contents and stability as a result of the gliricidia impact compared to the control at the site with the generally lower baseline C contents. At this site, the treatment effect was not visible in soil physical characteristics such as porosity and bulk density, but in saturated hydraulic conductivity, which is rather a structural soil property. The soil water dynamics were influenced by several additional factors such as soil texture and interception. The gliricidia treatment showed greater soil water storage capacities and retained overall more water, while generally none of the plots neither control nor treatment were under severe water stress during the observation period. We also noticed a protective effect against soil drying below the topsoil potentially by more immediate/macropore infiltration into the subsoil under gliricidia.

We conclude that, from a methodological point of view, assessing the effects on water fluxes requires respective field measurements as they cannot be deduced from soil physical characteristics directly. Overall, the AFS treatment of adding gliricidia into maize cultivation can have a considerable effect on nutrient and water dynamics in the system, however, this effect is also dependent on initial site conditions. A sensible AFS implementation can not only support carbon accumulation and stabilization but also increase the efficient use of available water, thus supporting different aspects towards sustainable agriculture in Malawi.

Share
1 Introduction

Agriculture in Southern Africa faces increasing challenges partly as a consequence of climate change (Fauchereau et al.2003), such as nutrient depletion (Mbow et al.2019), soil erosion (Montanarella et al.2016; Olsson et al.2019) and seasonal shifts in water availability (Trisos et al.2022). This affects both food security (e.g. Tumushabe2018; Mbow et al.2019) and ecosystem resilience (Sheppard et al.2020; Jose2009), hence adapted land use systems are required to respond to these challenges.

Agroforestry systems (AFSs) – combinations of crops and/or livestock with a woody perennial species – have been shown to offer promising management options in the light of these challenges. Depending on the species combination and the respective climatic and land use setting, the introduction of a woody component into agricultural systems can provide a variety of benefits (Sheppard et al.2020). For instance, as shelterbelts or windbreaks they can protect soils from erosion and crops from damages as well as excessive evapotranspiration (Makate et al.2019; Littmann and Veste2008; Cleugh1998) and affect the nutrient and water cycling of the crops in various ways.

While competition over resources such as water or nutrients may occur (Odhiambo et al.2001; Siriri et al.2013), which is also a perceived obstacle for the implementation of AFS as reported by Valdivia et al. (2012) during a study in Canada, many beneficial short- and long-term interactions are well documented (Akinnifesi et al.2006). The balance between advantages and disadvantages is very much dependent on the climatic conditions, the combination of the species in the AFS (e.g. Bayala et al.2014) and other factors like baseline soil organic carbon (SOC) concentration, depth of humic layer and soil texture (Feifel et al.2024), and can also be influenced by management decisions (Sileshi et al.2014). For example, the different leaf stages and rooting depths together with a seasonality in rainfall did not lead to any competition for water in intercropping systems of pruned gliricidia and maize in a very common AFS in southern Malawi while some competition may occur during seasonal effects (Chirwa et al.2007).

Nitrogen (N) deficiency is a major problem in tropical cropping systems and often the most limiting nutrient (Ikerra et al.1999). The integration of legume species can therefore increase plant-available N in the soil and lead to a fertilisation effect, thus reducing the need for artificial fertiliser.

Furthermore, trees in AFSs provide additional carbon (C) input and may increase soil organic matter (SOM) contents (Jose2009; Kuyah et al.2019) and SOM stability (Maier et al.2023), augmenting soil fertility (Beedy et al.2010; Iwasaki et al.2017; Alamu et al.2023). The input can occur in various ways, e.g. via active incorporation of biomass into the soil, around the crops or simply by the decomposition of plant materials and roots directly around the trees (Shi et al.2018).

Long-term sustainable improvement of SOM contents requires not only input but also stabilization of SOM at mineral soil surfaces and within aggregates. This stabilization process is dependent on soil texture (Schweizer et al.2021) and other physiochemical parameters like pH value, calcium (Ca) and magnesium (Mg) and the presence of sesquioxides (Rasmussen et al.2018). Iron (Fe-) and aluminium (Al-) containing sesquioxides are known to be important for aggregate formation and SOM stabilization. This is especially true in soils with low activity clays (Barthès et al.2008), where a relatively high ratio of pedogenic Fe to Al clay has been shown to support organic carbon stability against oxidation, allowing persistence in the soil (Kirsten et al.2021). Depending on how stable C is bound within the soil, it can be grouped into different fractions: free light fraction (fLF), in aggregates occluded light fraction (oLF) and heavy fraction (HF), where C is bound to soil minerals (Golchin et al.1997).

The amount and stability of C in soils is strongly linked to soil structure (Bronick and Lal2005; Lal2020), and intercropping AFS with legume trees has been shown to increase soil aggregation (Blair et al.2006) and soil aggregate stability (Chaplot and Cooper2015). The influence of C input on soil structure and water fluxes in AFSs has been studied. Findings indicate that increasing C contents – resulting from intercropping with legume trees – lowered bulk density (García-Orenes et al.2005) and improved water retention (Rawls et al.2003). Changes in soil structure in turn influence soil physical and hydrological characteristics, e.g. pore size distribution or water retention, affecting soil water at the macro scale (Nimmo and Akstin1988; Pachepsky and Rawls2003; Williams et al.1983).

Adding organic C in the form of manure can enhance soil structuring and lead to increased total porosity and water retention of the soil (Bodner et al.2015). This effect seems to be stronger in soils with lower initial C content (Rawls et al.2004), pointing to the interplay of mineral surfaces binding organic substances and subsequent aggregate formation. In a modelling study, Feifel et al. (2024) also found improved water retention and higher storage capacity of soils with increasing soil organic carbon (SOC) contents, however, the effect was dependent on soil texture and stronger in sandy soils. The texture-dependency of the SOC effect on water retention was also documented as part of a recent carbon-sensitive pedotransfer function approach (Bagnall et al.2022) which also found a marked increase (about double) in plant-available water as a response to SOC input. However, there is still a lack of knowledge to what extent C-induced short- and long-term changes in soil structure affect water fluxes in these systems.
Effects of land-use change only become evident after several years and are needed to be observed over multidecadal time spans (Dearing et al.2010). Hence, long-term monitoring sites or experiments are essential to evaluate the effect of C-input strategies. The World Agroforestry (ICRAF) in Malawi has been running experimental trials of combining maize crops with gliricidia plants at two sites for more than 30 and more than 10 years, respectively. The sites soil and climatic conditions vary slightly but they are largely similar in the intercropping treatments included in the experiments. Management conditions are similar (same pruning frequency, seeds, weeding activities) and also spacing between maize and gliricidia are the same. They are therefore ideal to study the effect of gliricidia on various processes and characteristics.

Gliricidia sepium (Jacq.) Steud. (gliricidia) is a well recommended intercrop legume tree species for nutrient demanding maize cultivation (Kwesiga et al.2003). Numerous studies have demonstrated its beneficial impact on carbon sequestration and nutrient supply when intercropped with maize (Akinnifesi et al.2010) while increasing yields (Ribeiro‐Barros et al.2018; De Schutter2012; Akinnifesi et al.2006; Beedy et al.2010). It is well suited for the Southern African region due to its high leaf-N content, high biomass production and drought resistance (Kerr2012). The gliricidia-maize intercrop has been shown to induce positive effects on soil fertility (Beedy et al.2010), maize yields (Chirwa et al.2003) and with the addition of small doses of inorganic fertiliser leads to higher maize productivity (Akinnifesi et al.2007). Maize may take advantage of the nutrients from the gliricidia prunings and gliricidia's capabilities of retrieving nutrients from deeper soil layers (Makumba et al.2009). Further, a combination of gliricidia and maize sequesters more soil C than a maize monoculture (Makumba et al.2007).

Previous studies conducted at these research sites encompass research on maize yields and nutrient dynamics (Akinnifesi et al.2006; Ikerra et al.1999; Makumba et al.2006, 2009; Chirwa et al.2003; Akinnifesi et al.2007), rooting patterns (Makumba et al.2009), carbon sequestration (Makumba et al.2007), SOM (Beedy et al.2010) and its stabilization, (Maier et al.2023) soil water dynamics (Chirwa et al.2007) and drought resilience (Kerr2012) in gliricidia-maize intercropping systems. The gliricidia intercropping system proved to increase maize yields if managed correctly by pruning gliricidia regularly and applying pruning into the soil (Akinnifesi et al.2006; Chirwa et al.2003). The gliricidia intercropping had a positive effect on soil and particulate organic matter, which were directed at increasing yields and storage capacities for nutrients (Beedy et al.2010). The addition of inorganic N and P fertilizer together with organic inputs from the gliricidia positively influences maize yield (Akinnifesi et al.2007). Gliricidia redistributed N from the subsoil to the surface (Ikerra et al.1999), however, Makumba et al. (2006) still found a net decrease in gliricidia systems due to increased nutrient export. Maize was shown to have more roots growing within 0–40 cm depth than gliricidia and could therefore benefit from the nutrients of the applied gliricidia pruning in the ridges (Makumba et al.2009). The intercropping also had beneficial effects on biomass production and carbon input as well as improved aggregate formation and storage of SOM within aggregates (Maier et al.2023). Furthermore, the intercropping system could sequester more carbon in the soil than maize plants alone (Makumba et al.2007) and Chirwa et al. (2007) found that under typical rainfall conditions, water was sufficiently available for plants to grow and water use efficiency increased in the intercropping system. Kerr (2012) found that gliricidia intercropping improved maize production even under conditions of drought stress.

Most of the previous work focused on yields and availability of nutrients and water while the influence of and the relationship between long-term SOM stabilized aggregates and other soil structures characteristics on soil hydrological properties has not been studied in great detail. Therefore, we used the unique setup of the ICRAF's long-term experimental trials of gliricidia and maize to analyze the changes in SOM and nutrient status as well as soil hydrological properties, time series of hydrological fluxes and rainfall events to address the following research questions:

  1. Does the AFS treatment increase C contents of the soils?

  2. Do changes in SOM contents and stability affect soil structure and hence hydraulic characteristics?

  3. How do these changes in hydraulic characteristics manifest in soil water fluxes and state variables?

2 Methods

2.1 Site description and management

The study was conducted at two field sites in Malawi, at Chitedze Agricultural Research station close to Lilongwe in central Malawi and Makoka Agricultural Research Station close to Zomba in the south of the country (Fig. 1). Both sites offer agroforestry experiments run by the World Agroforestry, among them trials of intercropping Gliricidia sepium (Jacq.) Walp. trees with maize (Zea mays L.) (Akinnifesi et al.2007; Chirwa et al.2007), but differ in the duration of the experiment and in some soil and climatic conditions.

https://bg.copernicus.org/articles/23/1545/2026/bg-23-1545-2026-f01

Figure 1Map of the study sites Chitedze and Makoka Research station in Malawi. Source: Esri, Maxar, GeoEye, Earthstar Geographics, CNES/Airbus DS, USDA, USGS,AeroGRID, IGN, and the GIS User Community; National Geographic, Esri, Garmin, HERE, UNEP-WCMC, USGS, NASA, ESA, METI, NRCAN, GEBCO, NOAA, increment P Corp | Powered by Esri.

The temperate Chitedze site with dry winters and hot summers (13°59 S and 33°38 E, 1146 m a.s.l.) is located in the Lilongwe plain and has a mean annual temperature of 20 °C and annual rainfall amounts to 800–900 mm with 85 % of these rains occurring between November and April (Malunga et al.2017; Beck et al.2023). Soils at the site are Chromic Luvisols (IUSS Working Group WRB2022; Malunga et al.2017), providing high cation exchange capacity and high agricultural potential for annual crops (Brown and Young1965). The experiment at Chitedze was established in 2009 in a split-plot design as an agroforestry demonstration site. The two parts within a plot include two different cropping practices for the maize. The plots themselves represent different combinations of maize, tree component and fertiliser application. For our experiments, only the gliricidia-maize intercropping and the control treatments were of importance.

The Makoka site (15°30 S and 35°15 E, 1029 m a.s.l.) with a tropical Savannah climate (Beck et al.2023) is located in the southern region of Malawi and experiences a mean daily temperature between 16 and 24 °C (Chirwa et al.2003) and mean annual rainfall of 1024 mm, unimodally occurring mainly between November and April (Ikerra et al.1999; Malunga et al.2017). The soils were classified as Ferric Lixisols (IUSS Working Group WRB2022; Ikerra et al.1999). The experiment in Makoka was established in 1992 in a randomised complete block design with three replicates per treatment, treatments varying in combinations of tree component and different crops as well as fertiliser application rates (Ikerra et al.1999). This study focused on the comparison of maize-only control plots and the AFS plots of gliricidia with maize (Akinnifesi et al.2007).

The management of these plots follows common practice of planting the maize in ridges each year before the rainy season starts. In the agroforestry treatments, gliricidia was planted between alternate ridges with a spacing of 1.50 m between ridges and 0.90 m within the ridge, resulting in a planting density of about 7400 trees per hectare as outlined by Makumba et al. (2006). Additionally, the gliricidia on the AFS plots is cut three times a year to a height of 30 cm, in October, December, and February and tree pruning (leaves and tender branches) is incorporated into the soil ridges as green manure.

The size of the maize plants was recorded exemplarily around the locations where we took the soil samples for measuring hydrological characteristics (big cylinders), at both sites and in both control and gliricidia plots. In Chitedze, we measured only 5 plants due to time constraints (2 in the control, 3 in the gliricidia treatment), in Makoka we measured 22 plants (10 in the control, 12 in the gliricidia plot). Hence, this can only give a rough estimate of plant sizes. We also took photographs for visual comparison.

Pedological and hydrological characteristics were sampled and monitored at both sites in a field campaign in February/March 2022 but also include some analyses of previous campaigns in 2019 at the Chitedze site and in 2021 at the Makoka site (Hoffmeister et al.2025).

2.2 Soil sampling

The aim of the sampling was to assess the soil conditions under typical agroforestry management conditions. All cylinder samples were taken from the soil with as little disturbance as possible. With that we captured the structural state of the soil at the time of sampling. For each subsection, we follow the structure of first referring to methods applied in Chitedze, then in Makoka, followed by a section on data analyses.

Table 1Overview of the samples taken and the performed analyses. Abbreviations of headers: Loc: location, No.: Number of samples per depth, SM: sampling method, Lab: laboratory, where samples were analysed/processed, BD: bulk density, P: porosity, C, N: carbon and nitrogen content, DF: density fractions/fractionation, PO: pedogenic oxides. T: texture, WDC: water-dispersible clay, Ksat: saturated hydraulic conductivity, WR: water retention curve, PWR = porosity from water retention curve. The depth is given in cm.

M: Makoka, C: Chitedze, A: auger samples (disturbed), CS: cylinder samples (undisturbed) – small cylinders, CB: cylinder samples (undisturbed) – big cylinders, UF: Chair of Soil Ecology, Institute of Forest Sciences, Faculty of Environment and Natural Resources, University of Freiburg, Germany, KIT: Chair of Hydrology, Institute for Water and Environment, Karlsruhe Institute of Technology (KIT), Germany

Download Print Version | Download XLSX

2.2.1 Auger and small cylinders for analyses of texture, nutrients, soil physical and hydrological characteristics

On each of the plots we took auger samples for the analysis of nutrients, pedogenic oxides, and soil texture. We took undisturbed samples with small cylinders of 4 cm height and 100 cm3 volume for the analysis of bulk density, and (for the Makoka site only) for porosity and saturated hydraulic conductivity.

At Chitedze, the sampling was undertaken in June 2019 as part of a different study. Ten sampling points were chosen per plot within the maize ridges at a spacing of approximately 3.5 m. The auger samples were taken at each point in 0–10 and 11–20 cm depth and analysed individually for C, N, CEC and pedogenic oxides. For density fractionation and the analysed soil texture, the samples from two depths were combined and analysed as mixed samples referring to 0–20 cm soil depth. Additionally, two undisturbed samples with the small cylinders were extracted at each sampling point, one for each of the two depths between 0–10 and 11–20 cm.

At the Makoka site, sampling was done with only five sampling points per plot. Samples were taken within the maize ridges, similar to the sampling at Chitedze, at 5–9 and 15–19 cm depth. Auger sampling was done in a campaign in 2021, pooled for 0–20 cm depth, for nutrients, pedogenic oxide, density fractions, water dispersible clay and texture. Sampling for soil physical characteristics (bulk density, porosity and saturated hydraulic conductivity) using small cylinders was done in the main campaign in February/March 2022.

The samples were transported to Germany and analysed in the laboratory of the Chair of Soil Ecology at the University of Freiburg. We analysed texture by sieving and sedimentation after the destruction of the organic matter according to DIN (ISO 11277:20022002). The amount of water dispersible clay (WDC) was determined (for the samples from the Makoka site) by using only distilled water as dispersant (van Reeuwijk2002). We estimated total exchangeable Ca2+-, Mg2+- and K+-cations according to the standard method (Anderson and Ingram1993) and pedogenic oxides (Fe, Al and Mn) using the dithionite extraction method (Mehra and Jackson1958).

Analyses of total carbon and nitrogen were done in an elemental analyser (Vario EL cube, Elementar, Langeselbold, Germany) after standard preparation techniques. In order to determine the stability of the C input by the gliricidia biomass, we also determined the relative proportions of C in different density fractions, the free light faction (fLF), the occluded light fraction (oLF) and heavy fraction (HF) according to the method of Golchin et al. (1997) and the process described in Graf-Rosenfellner et al. (2016). Bulk density was determined by drying the samples at 105 °C and weighing, then relating the dry mass to the cylinder volume. Total porosity at field moisture state was measured using vacuum pycnometry. Saturated hydraulic conductivity was determined with the constant head method at steady-state.

Some more measurements of nutrients etc. were undertaken on the samples, however, they were not part of the analyses for this study which aims at assessing the hydrological consequences of the agroforestry treatment. The data which are not shown here are freely available as described in Hoffmeister et al. (2025).

2.2.2 Large cylinders for analyses of hydrological characteristics

At both sites we took samples in the control and intercropping plot using large cylinders (4 cm radius, 5 cm height, 250 cm3 volume) to assess a range of characteristics such as bulk density, saturated hydraulic conductivity (Ksat) and water retention curves. Samples were taken at three locations distributed in the plot, within the maize ridges and at two depths, 5–10 and 25–30 cm. The cylinders were transported to Germany and analysed in the soil laboratory of the Institute of Water and Environment at the Karlsruhe Institute of Technology (KIT).

Bulk density was determined after drying the samples at 105 °C and referring dry weight to the cylinder volume. The saturated hydraulic conductivity of the samples was determined with the Ksat apparatus (UMS GmbH, Munich) which uses a Darcy approach with a falling head (Hartge and Horn2009). We measured water retention characteristics of the samples with the HYPROP apparatus (UMS GmbH, Munich, Germany) which uses tensiometers in two depths to record water potential while measuring the weight of the sample repetitively during evaporative drying. The apparatus is limited by the air entry point of the tensiometers to an approximate minimum of −800 hPa, therefore we combined the method with the WP4C PotentiaMeter (Decagon Devices Inc., Pullman, WA, USA), where potentials up to −300 MPa can be reached using a chilled mirror approach.

With the help of the in-build HYPROP software, water retention curves were parameterised using the Peters-Durner-Iden (PDI, Eq. 1, Peters et al.2024). Due to its separation into capillary and non-capillary components, the PDI model offers a better representation of the soil water retention curve in the dry range compared to the Van Genuchten-Mualem (VGM) model as it does not neglect adsorption and film flow in soils. As we are moving from the wet to the dry season in this case study, this differentiation might be crucial.

(1) θ ( h ) = ( θ s - θ r ) S c + θ r S nc

where h is the suction head in m, θs the saturated water content in m3 m−3, θr the residual water content in m3 m−3, Sc is the capillary saturation function and Snc the non-capillary saturation function. The first term is representing the commonly used but scaled (Eq. 2) VGM model (Eq. 3, Van Genuchten1980):

(2) S c ( h ) = Γ ( h ) - Γ ( h 0 ) 1 - Γ ( h 0 )

where h0 is the suction head at oven dryness.

(3) Γ ( h ) = 1 [ 1 + ( α h ) n ] 1 - 1 / n

where α is the scaling parameter and n an dimensionless shape parameter.

The second term is given by a smoothed piecewise linear function (Iden and Durner2014; Peters et al.2024):

(4) S nc ( h ) = log h 0 h - B log 1 + h a h 1 / B log h 0 h a

where B=log (10)b is a smoothing parameter and ha is the suction head at the saturation point of non-capillary water.

From the retention curves we also derived porosity (water content at pF = 0) and plant available water as the difference between water contents at pF = 4.2 and pF = 1.8. Soil hydrological characteristics were also determined on the small cylinder samples which were used for the nutrient and texture analyses. To measure total porosity, vacuum pycnometry at field moisture state was used.

2.2.3 Data analyses of soil samples

We used the Mann-Whitney-U test to analyse treatment differences for their significance (Wilcoxon1945; Mann and Whitney1947) at a significance level α of 0.05. This was, however, only possible for the small cylinder and auger samples, because the sample size of the big cylinders was too small for this test. For mean values, we also provide the standard error of the mean, which defines as the standard deviation divided by the square root of the sample size.

2.3 Monitoring of meteorological and hydrological variables

At both sites, Chitedze and Makoka, we deployed several devices that recorded water balance components at 15 min intervals. We installed a small meteorological measurement station in the control plot to record air temperature, relative humidity and precipitation. The temperature measurements seemed a bit spurious, possibly due to a malfunctioning sensor and some issues with the shielding. We, therefore, did not use these measurements. The precipitation was recorded with rain gauges (Chitedze: ECRN-100 Rain Gauge, Pullman, WA, USA; Makoka: Rain Collector, Davis Instruments, Hayward, CA, USA). The recorded tipping counts were translated to mm rainfall by multiplying with a factor of 0.2 as suggested by both manufacturers.

We assessed the influence of the agroforestry treatment on soil water dynamics by monitoring soil moisture and matric potential at different depths on both control and gliricidia plots at both sites. During the field campaign in 2022 we installed soil moisture sensors (TDR-310H, Acclima, Meridian, USA) in the rooting zone of the maize close to the ridges in depths of 10, 15, 25 and 60 cm. The top sensors were at 10 cm in Makoka and 7 cm at Chitedze as these were the shallowest possible depths to take an undisturbed soil sample for comparison. Unfortunately, there was some sensor failure in the maize plot at Chitedze and we only have the time series for the top sensor. In the same profiles where soil moisture sensors were installed, we also inserted two matric potential sensors (MPS-2, Decagon Devices, Pullman, USA) at 10 and 25 cm depth. The sensors were connected to a data logger (YDOC ML417, YDOC, Ede, the Netherlands) and the data were recorded from March to May 2022.

2.3.1 Data analyses of monitoring data

From the time series of soil moisture and matric potential responses to rainfall events were determined and water content changes calculated. We defined a rainfall event as a segment of time during which more than 2 mm of rain were recorded, framed by periods without precipitation of minimum 6 h. Precipitation events with less than 2 mm did not lead to considerable changes in topsoil water content and were therefore not included in the analyses. These events were classified according to their amplitude, time to soil moisture response after the rainfall as well as depth until soil water storage changes were visible. The soil water storage changes were calculated based on the difference of successive soil water content values in time, i.e. for each soil water content time series we subtracted the soil water content value of one point in time from the previous measured value to get the difference between the two points (Eq. 5). This difference was then multiplied by the sensor's measurement increment of 0.05 m to acquire the change in storage.

(5) SC t = ( SWC t - SWC t - 1 ) Δ d

with storage change SC [mm] at time t, soil water content SWC [mm3 mm−3] and the sensor's measurement increment Δd [mm] (for our sensors: 0.05 m) at time t and previous time step t−1.

Furthermore, we used the time series of field-measured soil moisture and matric potential to derive field retention curves in a similar way to the values obtained from the samples in the laboratory.

3 Results

3.1 Basic soil characteristics and maize heights at the sites

The soil at Chitedze is characterised as clay loam and Makoka as sandy clay loam with a greater sand fraction. The soil texture showed significant differences between treatments at both sites (Table 2).

Chitedze's sand and silt fractions were larger in the control than in the AFS and vice versa for the clay fraction. At Makoka, differences in the treatments were reversed: the AFS sand and silt fractions exceeded the ones of the control and vice versa for the clay fraction (Table 2).

The analysis of pedogenic oxides yielded on average 43.0 and 44.1 g kg−1 Fed in the top 0–20 cm in Chitedze in control and gliricidia treatment, respectively (Table 2). In Makoka the Fed-values were 32.2 g kg−1 in the maize-only plot and 28.3 g kg−1 in the plot with gliricidia. Ald values averaged 6.7 g kg−1 for the control and 7.0 g kg−1 for the gliricidia plot in Chitedze and 3.7 and 3.0 g kg−1 for control and gliricidia in Makoka, respectively. Both sites have levels above 28 g kg−1 Fed and above 3 g kg−1 Ald. The ratio of Fed/Ald was in Chitedze 6.5 for the control and 6.3 including gliricidia and 8.8 for the control and 9.3 including gliricidia in Makoka. The difference between treatments is only significant for Chitedze's topsoil.

Table 2Soil characteristics (texture, pedogenic oxides and nutrients) according to site, treatment and sampling depth. Numbers behind the site name indicate sampling year (y) and sample size (n). The values in parentheses are standard errors of the mean (±). For pedogenic oxides in Chitedze, we also show the averages of the two depths for easier comparison with the Makoka data. Abbreviations are: WDC: water-dispersible clay; Fed/Ald/Mnd: dithionite-extractable Fe/Al/Mn; CEC: cation exchange capacity.

Download Print Version | Download XLSX

The carbon-to-nitrogen (C/N) ratio and its relationship with SOM fractionation also provided valuable insights into the degradability and stability of organic materials in the soil. The C/N ratio reflects the amount of carbon in organic material relative to nitrogen, serving as an indicator of SOM degradability and its susceptibility to microbial decomposition. The C/N ratio (Table 2) was on average considerably wider at the C-rich Chitedze site (15.6, averaged across depths and treatments) than in Makoka (10.6). The treatment effect was significant in Chitedze's topsoil with the maize monocrop having an average C/N ratio of 15.7, whereas the gliricidia had 15.0. In Makoka, the intercrop showed a significantly wider C/N ratio of 11.3 than the maize control with a ratio of 9.9.

Figure 2 visualises impressions from the field sites, which show larger maize plants in plots including gliricidia than in the control plots.

https://bg.copernicus.org/articles/23/1545/2026/bg-23-1545-2026-f02

Figure 2Photograph of the maize plants in maize-only control plots compared to the plots including gliricidia. (a) Chitedze site: in the foreground is the control plot, in the background behind the meteo station is the gliricidia plot. (b) Makoka site: In the foreground/to the left the control, to the right is the gliricidia plot.

Download

We tried to confirm the visual impression of the plants by a limited number of measurements of the plants. The maize plants in Chitedze in the control plot were on average 92.5 cm high (n=2, 100 cm and 85 cm of height), in the plot including gliricidia the plants reached 101.7 cm (n=3, sd = 27.2 cm). In Makoka, the maize-only plants were 65.7 cm high (n=10, sd = 37.5 cm), the plants in the plots with gliricidia reached an average height of 132.8 cm (n=12, sd = 36.5 cm).

3.2 Carbon content and stability of soil organic matter

Makoka is the agroforestry site which has been established for a much longer time, with 30 years of experiment duration. As the changes in C contents have been examined in previous studies, we have the opportunity to compare the effect at roughly the same treatment age as in Chitedze (approx. 10 years), by considering the published results. Makumba et al. (2006) reported for Makoka 8.8 g C kg−1 in the topsoil at the initiation of the project and 6.6 g C kg−1 for the control and 10.9 g C kg−1 for the gliricidia treatment nine years after initiation (Table 3). The treatment difference after approximately ten years was, therefore, with 4.3 g C kg−1 substantially larger at Makoka than the above mentioned treatment difference of 0.9 g C kg−1 in Chitedze.

Table 3Comparison of C content in topsoil samples (0 – 20 cm) in Makoka and Chitedze at different periods after initiation of the AFSs.

a Makumba et al. (2006) (data from 1992, 2001); b Maier et al. (2023) (data from 2020)

Download Print Version | Download XLSX

https://bg.copernicus.org/articles/23/1545/2026/bg-23-1545-2026-f03

Figure 3C content (a) and density fractionation of organic C (b) in the control (Ctrl = yellow) and the gliricidia treatment (Gliri = green) at the sites Chitedze and Makoka. Error bars represent the standard error. Stars indicate significant treatment differences (α=0.05).

Download

Soils at Chitedze showed generally higher C content than soils at Makoka (Fig. 3a, Table 2). The differences between control and gliricidia were minimal at the Chitedze site, with 27.5 g C kg−1 in the control across both depths and 28.4 g C kg−1 in the gliricidia treatment. In Makoka, the site with generally lower C contents, the treatment effect was very pronounced with significantly higher C contents in the gliricidia plot (16.4 g C kg−1) compared to the control plot (7.2 g C kg−1).

Considering the C contents in the three different density fractions, we see that 10 years of agroforestry treatment at the Chitedze site did not lead to higher C content in any specific fraction (Fig. 3b). In Makoka, the strong increase in C contents after 29 years of agroforestry mainly occur in the aggregate-protected oLF (4-fold increase) and in the HF (2-fold increase) (Fig. 3b).

A comparison of the C contents in the oLF fraction with the water-dispersible clay amounts in the 10 samples in Makoka (Table 2) showed a negative relation (Fig. 4).

https://bg.copernicus.org/articles/23/1545/2026/bg-23-1545-2026-f04

Figure 4Relation between the aggregate-protected C fraction (oLF-C) and water-dispersable clay (WDC) contents at the site Makoka.

Download

Analysis of the soil density fractions revealed distinct variations in carbon and total nitrogen accumulation across fractions (Fig. 3, Table A2). In both treatments, the occluded light fraction (oLF) displayed the widest C/N ratio, followed by the free light fraction (fLF), with the heavy fraction (HF) showing the narrowest ratio.

3.3 Soil physical and hydraulic characteristics

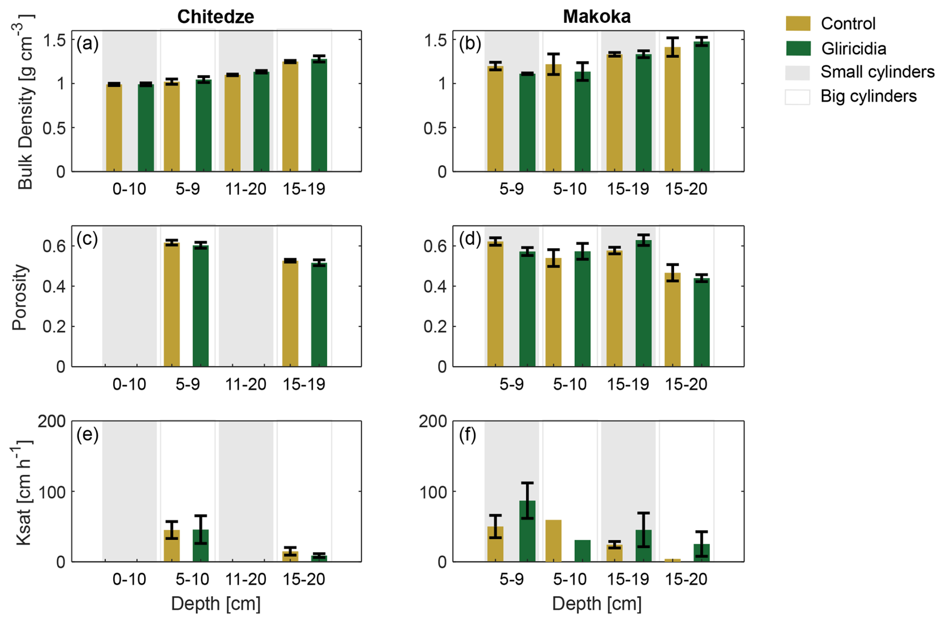
In Chitedze, there was no apparent difference between treatments, whereas in Makoka values of bulk density seemed to be slightly lower in the gliricidia treatment compared to the control. However, these differences were not significant (Fig. 5a, b).

https://bg.copernicus.org/articles/23/1545/2026/bg-23-1545-2026-f05

Figure 5Bulk density, porosity and Ksat in topsoil and subsoil. For Chitedze n=10 and Makoka n=5 per treatment and depths for the small cylinders and n=3 for big cylinders. Error bars represent the standard error. There were no significant treatment differences (α=0.05, only tested for small cylinders due to sample size). Detailed numbers can be found in the appendix (Table A1).

Download

Porosity generally decreased from topsoil to subsoil. The treatment effect was not significant at both sites, as values between the gliricidia plots and the controls were similar, with only a slight increase in subsoil porosity under gliricidia compared to the control in Makoka (Fig. 5c, d).

Saturated hydraulic conductivity showed no substantial difference between the control and gliricidia treatment in Chitedze. For Makoka, we found higher Ksat values in the gliricidia treatment compared to the control (Fig. 5e, f), however, these differences were statistically not significant.

https://bg.copernicus.org/articles/23/1545/2026/bg-23-1545-2026-f06

Figure 6Soil water retention curves at Chitedze (left) and Makoka (right). Each line curve is derived from a sample analysed in the laboratory (L) or from field measurements (F). The top plots (a, b) represent topsoil (5–9 cm depth) samples and middle plots (c, d) subsoil samples at 15–19 cm depth. The colours indicate the treatment with yellow being the control (C) and green the gliricidia (G). The grey box highlights the range of plant-available water (PAW), i.e. from pF = 1.8 (field capacity) to pF = 4.2 (permanent wilting point). The bottom panels (e, f) show the calculated PAW for the different treatments and depths for the two sites.

Download

3.4 Soil water retention curves (SWRCs)

Figure 6 compares the laboratory water retention curves obtained from the big soil samples to soil water retention curves (SWRCs) derived from the soil moisture and matric potential monitoring in the field.

There is a clearly distinguishable difference between laboratory topsoil and subsoil water retention curves (Fig. 6a–d). The topsoil samples always had greater porosities and flatter curves in the more humid range. In Chitedze, topsoil porosities were about 5 %–8 % higher in the gliricidia treatment compared to the control. Makoka's SWRC showed a greater range and slightly lower porosities in the control compared to the intercropping treatment.

The comparison of laboratory (Fig. 6, lines) and field (Fig. 6, dots) SWRCs yielded an apparent “limit” around pF 3. The field SWRCs were overall steeper and covered bigger distances between one another in the different depths (e.g. in Makoka in the gliricidia plot at depth 0.05 and at 0.25) compared to the laboratory SWRC. The largest contrast was between the curves of the different depths. Both laboratory and field SWRCs were steeper in the subsoil compared to the topsoil.

Plant-available water (PAW) is indicated by the grey box in Fig. 6e and f and two interesting patterns can be observed in the laboratory data. At both sites, PAW in the control had slightly lower values compared to the AFS treatment with Chitedze’s PAW showing greater differences.

In the field data, it is harder to identify clear patterns as the soils did not dry out until the wilting point. However, because of the steep slopes, it can be assumed that the PAW is much smaller than the ranges observed in the laboratory.

3.5 Monitoring of soil moisture and matric potential

We first consider the time series of water content. In general, soil water content time series showed behaviour as expected. The water content increased during rainfall events and continuously dried afterwards until the next rain event occurred (Fig. 7). Topsoil sensors recorded driest values and the deepest sensor the wettest values.

https://bg.copernicus.org/articles/23/1545/2026/bg-23-1545-2026-f07

Figure 715 min volumetric water content (WC) observations at both locations for both treatments respectively; colour code indicates measurement depth. Only one of the four sensors operated for the Chitedze maize treatment. Arrows indicate rain events with corresponding event ID.

Download

Only small differences in topsoil water content occurred between the treatments, especially in Chitedze. In Makoka, smaller events are dampened and smoothed in the gliricidia intercropping compared to the control with larger and more fluctuations. Greater differences were visible in the subsoil time series. Water content in the control is greater in 15 and 25 cm depth (Fig. 7f, h), but systematically lower in 60 cm (Fig. 7j). The drying process after a rain event seemed stronger in the gliricidia compared to the control.

Further, we investigated the matric potential time series monitored at two depths in both locations and both treatments.

https://bg.copernicus.org/articles/23/1545/2026/bg-23-1545-2026-f08

Figure 815 min matric potential observations, given as tension in pF, at both locations for both treatments, colour code indicates measurement depth. The dotted lines indicate the PWP at pF = 4.2. Arrows indicate rain events with corresponding event ID.

Download

In a similar manner as the soil water content, the matric potential time series followed the precipitation patterns (Fig. 8). The lower sensors at Chitedze responded almost concurrently with the top sensors at the onset of a rain event but clearly lagged behind in the drying process. The lower sensor in the Makoka control plot (Fig. 8f) reported during the last month some erroneous looking data potentially reaching a maximum measurement value after already being quite a bit out of its accurate measurement range.

One clear pattern observed in the treatments is that the subsoil sensors dried out stronger throughout the observation period compared to the topsoil sensors, and the control’s subsoil drying exceeded the one of the gliricidia. Overall, it appeared that more water remained available in the gliricidia treatments (pF 4–5) compared to the control (pF 5–6).

3.6 Analysis of rain events

Analysis of rain events, specifically, the soil's response can be insightful to understand water dynamics. In total, we identified four rain events (>2 mm and 6 h of inter-event period) in Chitedze and ten events in Makoka. Rainfall events in Chitedze ranged from 3 to 69.4 mm, lasting between 7 to 11 h. The Makoka events ranged from 3.8 to 146.4 mm and their durations from 1 to 44 h.

To explore the soil's response to the rain events we calculated the soil water storage changes during and after an event. Exact dates, durations and amounts are summarized in Table A3.

https://bg.copernicus.org/articles/23/1545/2026/bg-23-1545-2026-f09

Figure 9Cumulative precipitation (line) of four different precipitation events (E1–E4 from Fig. 7) and the changes in soil water storage at different depths estimated from the soil moisture sensors and separated by treatment in Chitedze. Scales of the y axis vary between panels.

Download

We show four (of five, the missing one showed only minor response in the soil water content) observed events for Chitedze in Fig. 9 and point out the limitation that only the top sensor in the maize control functioned properly. In the smaller rainfall events, the topsoil sensor in the control appeared to have responded faster and sometimes also stronger compared to the sensor in the gliricidia (Fig. 9c and d), where the response was delayed or less intense. In the events with more precipitation (Fig. 9a and b), the water slowly percolated downwards in the gliricidia plot as demonstrated by the sequential storage increases with increasing depth. Naturally, the amplitudes slightly decreased with depth, reflecting partial storage of infiltration in the layers above. It appears that in both events (a) and (b), the top sensors reached field capacity, however, not full saturation (Fig. 6a).

https://bg.copernicus.org/articles/23/1545/2026/bg-23-1545-2026-f10

Figure 10Cumulative precipitation (line) of four different precipitation events (E5–E8 in Fig. 7) and the changes in soil water storage at different depths estimated from the soil moisture sensors and separated by treatment in Makoka. Scales of the y axis vary between panels.

Download

In Makoka (Fig. 10), fortunately, all eight sensors were functioning. Therefore, we could assess soil water storage changes in both treatments for the whole 60 cm. The largest event in the measurement period had a cumulative precipitation of 146 mm (Fig. 10a). For this event, only a small fraction of the precipitation percolated into the soil. The largest difference appeared to be the response of the deepest sensor in the gliricidia, which was quite strong and lasted over 24 h. During the other events, which were comparable in size to the ones in Chitedze, we also observed differences between treatments. The sensors in the gliricidia plots at greater depths reacted simultaneously to the topsoil sensor. Further, the deeper gliricidia sensors showed stronger reactions than the ones in the control plot. In the control plots, the topsoil sensor showed strongest reaction and also stronger than in the gliricidia plots. The sensors in the control again responded with a stronger delay, which increased with depth. The lowest sensor reacted only occasionally to a precipitation event in both treatments.

4 Discussion

4.1 Agroforestry treatment increases C contents, relative effect is stronger in soils with generally lower C content

Two main C content patterns were observed in this study: (1) Overall the C content was higher in Chitedze (topsoil average: 28.4 g C kg−1) compared to Makoka (topsoil average: 11.8 g C kg−1) and (2) C content differences due to treatment effects were larger in Makoka (topsoil: 9.2 g C kg−1) than in Chitedze (topsoil: 0.9 g C kg−1) (Table 3). The latter providing some more evidence that AFS can increase soil C, supporting already existing literature (Nabuurs et al.2007, 2022; Ramachandran Nair et al.2009).

The treatment difference was after ten years substantially larger at Makoka than in Chitedze, which indicates that soils with low C content store additional C more effectively as they tend to be farther from reaching their theoretical C saturation point (Maier et al.2023). On the contrary, soils with already high C saturation, as it is the case at Chitedze, are less efficient at storing extra C and are therefore less responsive to C-input measures (Stewart et al.2008). Studies investigating this relationship in the tropics are rare. Minasny and McBratney (2018) indicate a relationship between initial carbon stock and carbon sequestration rate in a global analysis, which is however not related to AFS. Also, Iwasaki et al. (2017) found a negative relationship between initial soil organic C content and the rate of soil organic C differences in Japan. Hanegraaf et al. (2009) observed highest organic C accumulation in Dutch grasslands and maize fields with lowest initial SOM content. However, they also pointed out initial SOM content alone cannot explain the diverse SOM trends generally observed in their study. In soils and soil horizons with varying textures and mineral compositions, different stabilization mechanisms are dominant (Lützow et al.2006).

4.2 Carbon content and pedogenic oxides affect hydraulic characteristics

4.2.1 Stability and aggregate formation

The soil structure plays a critical role in agricultural productivity by influencing various soil functions. One of the primary indicators of soil structure status is aggregate stability (Six et al.2002). Six et al. (2002) found a higher aggregate stability but lower correlation of this stability with carbon contents in tropical soils compared to temperate soils. Ayuke et al. (2019) investigated the influence of land use practices and management on soil aggregation and SOM dynamics and found aggregate stability indices and SOM to be generally higher in the fallow compared to the arable systems. Further, SOM build up significantly enhanced aggregate stability in their study. This finding aligns with the results of Atsivor et al. (2001), who reported that increases in soil C content can enhance soil stability through improved aggregation, particularly under sustainable agricultural practices compared to conventional farming. The stability of aggregates depends not only on the amount of soil C but also on how C is bound within the soil matrix. WDC is an important parameter, often used as an indicator of both soil aggregate stability and erodibility (Paradelo et al.2013).

Our results at the Makoka site indicate that the gliricidia treatment was associated with lower WDC, which suggests the formation of more stable aggregates compared to maize monocropping. Gliricidia intercropping enhanced C storage, particularly in the more stable oLF- and HF-fractions indicating free mineral surfaces left to bind and stabilize biomass C (Castellano et al.2015). The fLF-fraction, representing less stable C pools, remained relatively constant across treatments reflecting generally high C mineralization and C-turnover rates of rapidly decomposing N-rich legume biomass in tropical climate. The concentrations of pedogenic oxides (Al, Fe) at Makoka and Chitedze also likely contribute to SOM stabilization (Barthès et al.2008), adding to the potential structural benefits typically attributed to increased SOM in AFS treatments.

Previous studies, such as Maier et al. (2023), observed a significant increase of more stable C fractions where C is bound to minerals and stabilized within soil aggregates. This suggests that gliricidia derived C is incorporated into soil aggregates, thereby contributing to a more stable soil structure. This structural enhancement could theoretically impact bulk density and Ksat by increasing porosity within the soil matrix. Literature supports this relationship between soil organic carbon and soil structure, indicating that soil organic carbon plays a pivotal role in promoting aggregation, stability and influencing pore size distribution, which in turn affects water retention and water movement (Bagnall et al.2022; Bronick and Lal2005; Nimmo and Akstin1988; Pachepsky and Rawls2003; Williams et al.1983).

The potential effects of treatments on bulk density and Ksat, both of which are closely related to soil porosity, are evaluated below. Soil structure is intricately linked to the distribution of pore sizes, which, in turn, affects water movement and retention (e.g. Nimmo and Akstin1988).

4.2.2 Comparison of soil physical and soil hydraulic characteristics

Though we expected differences in porosity and bulk density, these were not significant. In Makoka, measurable differences in both soil C and WDC with the treatments were neither accompanied by corresponding variations in bulk density (Fig. 5a, b) nor Ksat (Fig. 5e, f).

The literature provides contradicting evidence regarding the relationship between SOM and Ksat. Lado et al. (2004) showed that Ksat can increase in high-OM soils due to improved aggregate stability and reduced slaking. Similarly, Fu et al. (2015) reported that high SOC content is often accompanied by increased Ksat, especially in soils with high biological activity and porosity. In Makoka, where differences in OM and soil structure were more pronounced between treatments, variations in Ksat were observed, suggesting that soil texture and mineral composition modulated the effect of OM on hydraulic conductivity.

In contrast, Nemes et al. (2005) found indications of a negative correlation between OM and Ksat. They suggest that while OM can increase porosity, it also retains water, thereby reducing the amount of water available for free flow. This results in a complex interaction where OM enhances hydraulic conductivity by improving soil structure but simultaneously restricts water movement by retaining moisture. Our findings align with this complex relationship, as higher C content in Chitedze’s soils did not result in significant Ksat changes despite higher porosity compared to Makoka.

The absence of significant Ksat changes in Chitedze could be attributed to the specific interaction between soil texture and OM quality, highlighting the need for more detailed studies on how different OM types and soil conditions affect hydraulic properties.

Water retention curves from our study showed that the topsoil had greater porosity and flatter retention curves in the more humid range. The treatment differences appeared smaller than differences in depth, as the former curves overlap more than the latter. However, the field SWRCs in the gliricidia showed an upward shift in soil water retention curves compared to controls, indicating higher water contents at the same suctions and thus a higher amount of plant available storage. Higher SOC and aggregation in the gliricidia plots possibly improves water storage capacity, especially in generally sandy texture.

On average, both sites demonstrated more plant-available water (PAW) in the subsoil than in the topsoil and this effect clearly exceeded any treatment differences, which were marginal. The literature shows varied connections between these variables. For instance, Rawls et al. (2003) reported that the relationship between soil water retention and organic carbon content is strongly influenced by soil texture. Their work suggests that in sandy soils, an increase in OM content leads to an increase in water retention, while in fine-textured soils, the effect is less pronounced or even reversed at lower organic carbon levels. High soil C as e.g. in Chitedze's topsoil may be contributing to improved PAW, as highlighted by studies that report SOC's ability to enhance water-holding capacity (Feifel et al.2024; Lal2020). However, the PAW in the Chitedze's AFS treatment exceeded Makoka's PAW. The vertical distribution of soil C also plays a critical role in the soil water balance, as indicated by Feifel et al. (2024), who found that shallow C-rich soil layers increase evaporation, while deeper incorporation improves water availability for crops. The contrasting findings between Chitedze and Makoka emphasize the importance of site-specific factors in determining soil hydraulic properties. While OM generally improves porosity and water retention, its effect on Ksat and PAW is highly dependent on the interaction with soil texture, structure, and C distribution.

4.3 Changes in hydraulic characteristics are visible in soil water dynamics

We did not find any significant treatment differences in soil hydraulic properties such as Ksat values, therefore, we did not expect to see substantial differences in infiltration responses to rainfall events at both locations. The only significant treatment differences appeared in texture (clay and silt) with implications for aggregation and soil structure as these texture fractions are closely related to binding of organic material and the formation of stable aggregates.

At Chitedze, the amounts of water reaching the topsoil differed with stronger reactions in the control plot. Especially during smaller events, the sensors in the gliricidia plots did not show a strong reaction. The sensors in Makoka's control plot measured greater changes in water content than in the gliricidia, except for the biggest event with over 100 mm of rainfall. Gliridicia plots tend to have sharper edges, indicating faster infiltration or redistribution of water. At both sites subsoil tensions were in the control much larger than in the gliricidia treatment, indicating a stronger binding of soil water and availability.

One possible reason for the sensors to register less water in the gliricidia intercropping is interception of water by the maize and gliricidia leaves. In the gliricidia intercropping plot the branches and leaves of the gliricidia (when not freshly cut down to the base) cover parts of ground, thereby impeding rainfall to reach the soil surface directly. Additionally, the maize plants appeared larger and less crop failures occurred in the gliricidia intercropping plots compared to the control, which increases the potential water storage capacities on the leaves in these plots. The interception storage needs to be exceeded by rainfall for water to reach the soil surface. Graham and Lin (2011) classified flow regimes based on the sequence of soil moisture sensors responses across a soil profile. Preferential or macropore flow referred to the events where deeper sensors reacted faster than shallower sensors. In Chitedze's intercropping plot the subsoil sensors reacted with a delay to the rainfall, indicating “slow” percolation rather than macropore infiltration. This delayed response can be attributed to the fact that the gliricidia plot in Chitedze contained significantly more clay and less silt than the control plot, which tends to reduce the speed of water movement.

Makoka's gliricidia plot displayed faster (compared to the control plot) and almost immediate response in the subsoil sensors, which reacted nearly simultaneously with the onset of rainfall. This rapid response suggests faster infiltration, which is supported by Chirwa et al. (2003), who found higher infiltration rates in their AFS treatment as compared to monocropping. The gliricidia plot in Makoka contained less clay and more silt than the control, which increases soil drainage and promotes rapid water movement, reducing water retention and allowing quicker infiltration.

The rapid sensor response in the Makoka AFS might also be facilitated by macropores, possibly from root structures or more biological activity in the AFS treatment compared to the control. The deeper sensors in Makoka's control plot showed a delayed response compared to the top sensors. This delay may be due to the absence of macropores and was potentially enhanced by the control's higher clay content relative to the gliricidia, which slowed down water infiltration and percolation. On the other hand, Makoka experienced a stronger decrease in soil moisture in the gliricidia at the end of observation period, while the corresponding potential is consistently much smaller. This indicates both a stronger water use by maize and gliricidia and a less water availability, because capillary binding is smaller.

One aspect to be mentioned regarding the soil water potential is the flattening of the curve during a precipitation event. The wetting does not continue until matric potential is nearly zero, but rather flattens around approximately pF = 3.0. One reason could be that the soil has a lower (drier) air-entry potential and therefore limits water fluxes into the ceramic disk of the sensor, whose air-entry potential is at −5 kPa.

Another reason for not closing the water balance, in particular during the strong precipitation events, is that the water infiltrates at the same rate as it is redistributed into the deeper soil, hence, storage change remains stable. The high rainfall intensity of up to 30 mm during a 15 min measurement interval (120 mm h−1), does not exceed Ksat but reach close to unsaturated conductivity values (Fig. A2). The soil reaches an infiltration saturation state, therefore water remains ponding at the surface due to the absence of topographic gradients. The ponding water continues infiltrating at the rate of redistribution. The soil water measurements do not reach saturation, however, the relatively slow drying when rainfall ceased supports this. Furthermore, the water tables may slowly rise upwards along the flanks of the ridges (Fig. 2) increasing the surface area where infiltration can occur.

In both locations, the drying effect was stronger in the gliricidia compared to the control plots, with site Makoka experiencing overall the strongest drying, probably due to more abundant and healthier maize plants (particularly in Makoka) and gliricidia also draining water. Interestingly, at both sites, the subsoil layers in the control dried out faster and more intensely than in the gliricidia plots. This could indicate that root water uptake from maize plants was greater at depth in the control plots, possibly due to the plants accessing water reserves more effectively in response to limited surface moisture. Additionally, the plants were less protected or could grow different root structures without competition to the gliricidia roots. Matric potential measurements also indicated that more water remained available in the gliricidia treatments compared to the control plots. This suggests that the gliricidia, potentially due to higher C content, retained more water overall. It implies a generally greater storage capacity for water in the gliricidia plots, enabling them to hold moisture more effectively than the control plots. These findings are in line with reports by Chirwa et al. (2007) in AFS of gliricidia and pigeon pea in southern Malawi. They also found that there was enough water stored in the soil so that both plant species had sufficient water available.

4.4 Implications of introducing AFS for nutrient and water availability

In the following, we point out further aspects of introducing trees into monoculture crop fields regarding nutrients and water availability.

In terms of maize growth, the height of maize plants serves as an important measure of both yield potential and canopy interception, with taller plants indicating better growth conditions. Maize plants were generally taller and healthier in Chitedze than in Makoka, and more vital in the gliricidia compared to the control treatment. The improved growth in Chitedze may be attributed to the generally more favorable growing conditions at this site, including higher C and N contents, higher CEC values and therefore possibly more effective nutrient recycling.

Since CEC is mainly influenced by clay minerals and SOM, it is an important factor for soil fertility and can potentially be linked to soil texture and SOM (Beedy et al.2010). Gaiser et al. (2012) showed that legume-derived organo-mineral compounds enhance soil CEC in a tropical Acrisol. Corresponding with consistent C contents at Chitedze, also CEC had no response on gliricidia residue input. At Makoka though we found significantly higher CEC in the gliricidia treatment corresponding to Beedy et al. (2010), who found a significant increase in soil CEC associated with gliricidia, suggesting a key role of these trees in maintaining CEC in agricultural fields. This would furthermore explain our strong differences in maize plant size and vitality in the legume intercropping treatment compared to sole maize in Makoka.

Furthermore, we did not find any indications for severe water competition between the maize plants and the gliricidia, which was also confirmed by Makumba et al. (2009) for a gliricidia-maize intercropping system. The matric potential remained below the critical PWP at both sites under gliricidia treatment, indicating no occurrence of water stress for the plants. Chirwa et al. (2007) found in Makoka that soil water content was generally lower in the gliricidia system at the beginning of the cropping season (end of dry season), indicating that the trees depleted soil water during the dry period. However, they also point out that rainfall exceeded potential evaporation during cropping season. If the gliricidia is pruned during crop growth, they fall into a dormant phase and do not compete for resources with the crop.

5 Conclusions

Introducing trees into agricultural systems in the form of AFSs may influence carbon, nutrient and water cycling in the crops. In maize and gliricidia intercropping on a long-term experimental plot, we saw a clear treatment effect on soil nutrients and carbon contents for one of the two sites.

We found no simple relationships between bulk density or porosity and hydrologically relevant characteristics such as hydraulic conductivity and retention properties. While there was an influence of C contents and stability on Ksat, the differences between sites and treatments did not consistently reflect differences in bulk density and porosity. Consequently, this means that it is not straightforward to deduce changes in water fluxes from soil physical characteristics alone; the respective soil moisture and matric potential dynamics need to be measured as well for a reliable analysis of e.g. potential water availability to the crops.

In our example of long-term experimental maize and gliricidia intercropping, we could show that some of the challenges envisioned for agriculture in Southern Africa by climate change may be alleviated by agroforestry systems under certain site conditions. One of the two sites, showed clear positive treatment effects such as a more stable soil structure as a consequence of the sustainably supplied organic matter which would potentially be less susceptible to soil erosion. Further, an improved nutrient availability could sustain higher and more stable yields. These clear treatment effects were, however, not found in the second site, highlighting that each agroforestry system needs to be targeted to the individual site conditions. In any case, adding gliricidia at the second site did not lead to any disadvantages in terms of soil water dynamics.

Appendix A
https://bg.copernicus.org/articles/23/1545/2026/bg-23-1545-2026-f11

Figure A1Sketch illustrating positions in Chitedze's and Makoka's control and intercropping plots, where soil samples were taken and monitoring sensors installed. Sampling depths are described in Table 1.

Download

https://bg.copernicus.org/articles/23/1545/2026/bg-23-1545-2026-f12

Figure A2Unsaturated hydraulic conductivity derived from water retention parameters and saturated hydraulic conductivity measured in the laboratory in the control (C = yellow) and the gliricidia treatment (G = green) at the sites Chitedze and Makoka (bot: bottom).

Download

Table A1Additional soil characteristics for both sites, separated according to site, treatment and sampling depth. Abbreviations are: PAW: plant-available water; Ksat: saturated hydraulic conductivity. The values in parentheses are standard errors of the mean. The sampling year and size for the small cylinders are 2019 and 10 for Chitedze; and 2022 and 5 for Makoka. Sampling year and size of the big cylinders are 2022 and 3.

a from water retention curves; b not all samples included

Download Print Version | Download XLSX

Table A2Density fraction of C, N and C/N values into free light faction (fLF), the occulded light fraction (oLF) and heavy fraction (HF).

Download Print Version | Download XLSX

Table A3Summary of rain events measured in Chitedze and Makoka (more than 2 mm of rain, framed by periods without precipitation of minimum 6 h).

Download Print Version | Download XLSX

Data availability

The datasets that form the basis for the presented analyses are freely available and accompanied by a technical description of the individual tables from the online repository GFZ Data Services (Hoffmeister et al.2025https://doi.org/10.5880/fidgeo.2025.026).

Author contributions

SH, SKH and RM developed the concept of the study and designed and conducted the sampling. SH, SKH and RM collected, curated and analysed the data. SH and SKH prepared the manuscript with contributions from all the co-authors.

Competing interests

The contact author has declared that none of the authors has any competing interests.

Disclaimer

Publisher's note: Copernicus Publications remains neutral with regard to jurisdictional claims made in the text, published maps, institutional affiliations, or any other geographical representation in this paper. The authors bear the ultimate responsibility for providing appropriate place names. Views expressed in the text are those of the authors and do not necessarily reflect the views of the publisher.

Acknowledgements

This study would not have been possible without the logistical and field support by the colleagues at World Agroforestry (ICRAF). Konisaga Mwafongo and Charles Banda were essential for the successful field work, and Betserai I. Nyoka and the ICRAF team were always supportive with all administrative issues and background information. We are also very appreciative of the staff at the two involved laboratories who analysed the samples for us.

Financial support

This research has been supported by the Bundesministerium für Bildung und Forschung (grant no. 01LL1803).

The article processing charges for this open-access publication were covered by the Karlsruhe Institute of Technology (KIT).

Review statement

This paper was edited by Edzo Veldkamp and reviewed by Sebastian Gayler and one anonymous referee.

References

Akinnifesi, F. K., Makumba, W., and Kwesiga, F. R.: Sustainable maize production using Gliricidia/Maize intercropping in Southern Malawi, Experimental Agriculture, 42, 441–457, https://doi.org/10.1017/S0014479706003814, 2006. a, b, c, d

Akinnifesi, F. K., Makumba, W., Sileshi, G., Ajayi, O. C., and Mweta, D.: Synergistic effect of inorganic N and P fertilizers and organic inputs from Gliricidia sepium on productivity of intercropped maize in Southern Malawi, Plant Soil, 294, 203–217, https://doi.org/10.1007/s11104-007-9247-z, 2007. a, b, c, d, e

Akinnifesi, F. K., Ajayi, O. C., Sileshi, G., Chirwa, P. W., and Chianu, J.: Fertiliser trees for sustainable food security in the maize-based production systems of East and Southern Africa. A review, Agronomy for Sustainable Development, 30, 615–629, https://doi.org/10.1051/agro/2009058, 2010. a

Alamu, E. O., Adesokan, M., Fawole, S., Maziya-Dixon, B., Mehreteab, T., and Chikoye, D.: Gliricidia sepium (Jacq.) Walp Applications for Enhancing Soil Fertility and Crop Nutritional Qualities: A Review, Forests, 14, 1–13, https://doi.org/10.3390/f14030635, 2023. a

Anderson, J. M. and Ingram, J. S. I.: Tropical Soil Biology and Fertility: A Handbook of Methods., C.A.B. International, 2nd edn., ISBN 0-85198-821-0, 1993. a

Atsivor, L., Dowuona, G. N., and Adiku, S. G.: Farming system-induced variability of some soil properties in a sub-humid zone of Ghana, Plant Soil, 236, 83–90, https://doi.org/10.1023/A:1011907420292, 2001. a

Ayuke, F. O., Zida, Z., and Lelei, D.: Effects of Soil Management on Aggregation and Organic Matter Dynamics in sub-Saharan Africa, African Journal of Food, Agriculture, Nutrition and Development, 19, 13992–14009, https://doi.org/10.18697/ajfand.84.BLFB1002, 2019. a

Bagnall, D. K., Morgan, C. L., Cope, M., Bean, G. M., Cappellazzi, S., Greub, K., Liptzin, D., Norris, C. L., Rieke, E., Tracy, P., Aberle, E., Ashworth, A., Bañuelos Tavarez, O., Bary, A., Baumhardt, R. L., Borbón Gracia, A., Brainard, D., Brennan, J., Briones Reyes, D., Bruhjell, D., Carlyle, C., Crawford, J., Creech, C., Culman, S., Deen, W., Dell, C., Derner, J., Ducey, T., Duiker, S. W., Dyck, M., Ellert, B., Entz, M., Espinosa Solorio, A., Fonte, S. J., Fonteyne, S., Fortuna, A. M., Foster, J., Fultz, L., Gamble, A. V., Geddes, C., Griffin-LaHue, D., Grove, J., Hamilton, S. K., Hao, X., Hayden, Z. D., Howe, J., Ippolito, J., Johnson, G., Kautz, M., Kitchen, N., Kumar, S., Kurtz, K., Larney, F., Lewis, K., Liebman, M., Lopez Ramirez, A., Machado, S., Maharjan, B., Martinez Gamiño, M. A., May, W., McClaran, M., McDaniel, M., Millar, N., Mitchell, J. P., Moore, P. A., Moore, A., Mora Gutiérrez, M., Nelson, K. A., Omondi, E., Osborne, S., Alcalá, L. O., Owens, P., Pena-Yewtukhiw, E. M., Poffenbarger, H., Ponce Lira, B., Reeve, J., Reinbott, T., Reiter, M., Ritchey, E., Roozeboom, K. L., Rui, I., Sadeghpour, A., Sainju, U. M., Sanford, G., Schillinger, W., Schindelbeck, R. R., Schipanski, M., Schlegel, A., Scow, K., Sherrod, L., Sidhu, S., Solís Moya, E., St. Luce, M., Strock, J., Suyker, A., Sykes, V., Tao, H., Trujillo Campos, A., Van Eerd, L. L., Verhulst, N., Vyn, T. J., Wang, Y., Watts, D., Wright, D., Zhang, T., and Honeycutt, C. W.: Carbon-sensitive pedotransfer functions for plant available water, Soil Sci. Soc. Am. J., 86, 612–629, https://doi.org/10.1002/saj2.20395, 2022. a, b

Barthès, B. G., Kouakoua, E., Larré-Larrouy, M. C., Razafimbelo, T. M., de Luca, E. F., Azontonde, A., Neves, C. S., de Freitas, P. L., and Feller, C. L.: Texture and sesquioxide effects on water-stable aggregates and organic matter in some tropical soils, Geoderma, 143, 14–25, https://doi.org/10.1016/j.geoderma.2007.10.003, 2008. a, b

Bayala, J., Sanou, J., Teklehaimanot, Z., Kalinganire, A., and Ouédraogo, S.: Parklands for buffering climate risk and sustaining agricultural production in the Sahel of West Africa, Current Opinion in Environmental Sustainability, 6, 28–34, https://doi.org/10.1016/j.cosust.2013.10.004, 2014. a

Beck, H. E., McVicar, T. R., Vergopolan, N., Berg, A., Lutsko, N. J., Dufour, A., Zeng, Z., Jiang, X., van Dijk, A. I. J. M., and Miralles, D. G.: High-resolution (1 km) Köppen-Geiger maps for 1901–2099 based on constrained CMIP6 projections, Sci. Data, 10, 724, https://doi.org/10.1038/s41597-023-02549-6, 2023. a, b

Beedy, T. L., Snapp, S. S., Akinnifesi, F. K., and Sileshi, G. W.: Impact of Gliricidia sepium intercropping on soil organic matter fractions in a maize-based cropping system, Agriculture, Ecosystems and Environment, 138, 139–146, https://doi.org/10.1016/j.agee.2010.04.008, 2010. a, b, c, d, e, f, g

Blair, N., Faulkner, R., Till, A., and Poulton, P.: Long-term management impacts on soil C, N and physical fertility, Soil Till. Res., 91, 30–38, https://doi.org/10.1016/j.still.2005.11.002, 2006. a

Bodner, G., Nakhforoosh, A., and Kaul, H.-P.: Management of crop water under drought: a review, Agronomy for Sustainable Development, 35, 401–442, https://doi.org/10.1007/s13593-015-0283-4, 2015. a

Bronick, C. and Lal, R.: Soil structure and management: a review, Geoderma, 124, 3–22, https://doi.org/10.1016/j.geoderma.2004.03.005, 2005. a, b

Brown, P. and Young, A.: The physical environment of Central Malawi with special reference to soils and agriculture, Govt Printer, Zomba, 1965. a

Castellano, M. J., Mueller, K. E., Olk, D. C., Sawyer, J. E., and Six, J.: Integrating plant litter quality, soil organic matter stabilization, and the carbon saturation concept, Global Change Biology, 21, 3200–3209, https://doi.org/10.1111/gcb.12982, 2015. a

Chaplot, V. and Cooper, M.: Soil aggregate stability to predict organic carbon outputs from soils, Geoderma, 243-244, 205–213, https://doi.org/10.1016/j.geoderma.2014.12.013, 2015. a

Chirwa, P. W., Black, C. R., Ong, C. K., and Maghembe, J. A.: Tree and crop productivity in gliricidia/maize/pigeonpea cropping systems in southern Malawi, Agroforestry Systems, 59, 265–277, https://doi.org/10.1023/B:AGFO.0000005227.69260.f9, 2003. a, b, c, d, e

Chirwa, P. W., Ong, C. K., Maghembe, J., and Black, C. R.: Soil water dynamics in cropping systems containing Gliricidia sepium, pigeonpea and maize in southern Malawi, Agroforestry Systems, 69, 29–43, https://doi.org/10.1007/s10457-006-9016-7, 2007. a, b, c, d, e, f

Cleugh, H. A.: Effects of windbreaks on airflow, microclimates and crop yields, Agroforestry Systems, 41, 55–84, https://doi.org/10.1023/A:1006019805109, 1998. a

Dearing, J. A., Braimoh, A. K., Reenberg, A., Turner, B. L., and van der Leeuw, S.: Complex Land Systems: the Need for Long Time Perspectives to Assess their Future, Ecology and Society, 15, https://doi.org/10.5751/ES-03645-150421, 2010. a

De Schutter, O.: Agroecology, a tool for the realization of the right to food, in: Agroecology and Strategies for Climate Change, edited by: Lichtfouse, E., 1–16, Springer, Dordrecht, the Netherlands, ISBN 978-94-007-1904-0, 2012. a

Fauchereau, N., Trzaska, S., Rouault, M., and Richard, Y.: Rainfall variability and changes in Southern Africa during the 20th century in the global warming context, Natural Hazards, 29, 139–154, https://doi.org/10.1023/A:1023630924100, 2003. a

Feifel, M., Durner, W., Hohenbrink, T. L., and Peters, A.: Effects of improved water retention by increased soil organic matter on the water balance of arable soils: A numerical analysis, Vadose Zone J., 23, 1–13, https://doi.org/10.1002/vzj2.20302, 2024. a, b, c, d

Fu, T., Chen, H., Zhang, W., Nie, Y., Gao, P., and Wang, K.: Spatial variability of surface soil saturated hydraulic conductivity in a small karst catchment of southwest China, Environ. Earth Sci., 74, 2381–2391, https://doi.org/10.1007/s12665-015-4238-5, 2015. a

Gaiser, T., Stahr, K., Bernard, M., and Kang, B. T.: Changes in soil organic carbon fractions in a tropical Acrisol as influenced by the addition of different residue materials, Agroforestry Systems, 86, 185–195, https://doi.org/10.1007/s10457-011-9417-0, 2012. a

García-Orenes, F., Guerrero, C., Mataix-Solera, J., Navarro-Pedreño, J., Gómez, I., and Mataix-Beneyto, J.: Factors controlling the aggregate stability and bulk density in two different degraded soils amended with biosolids, Soil Till. Res., 82, 65–76, https://doi.org/10.1016/j.still.2004.06.004, 2005. a

Golchin, A., Baldock, J., Clarke, P., Higashi, T., and Oades, J.: The effects of vegetation and burning on the chemical composition of soil organic matter of a volcanic ash soil as shown by 13C NMR spectroscopy. II. Density fractions, Geoderma, 76, 175–192, https://doi.org/10.1016/S0016-7061(96)00103-6, 1997. a, b

Graf-Rosenfellner, M., Cierjacks, A., Kleinschmit, B., and Lang, F.: Soil formation and its implications for stabilization of soil organic matter in the riparian zone, CATENA, 139, 9–18, https://doi.org/10.1016/j.catena.2015.11.010, 2016. a

Graham, C. B. and Lin, H. S.: Controls and Frequency of Preferential Flow Occurrence: A 175‐Event Analysis, Vadose Zone J., 10, 816–831, https://doi.org/10.2136/vzj2010.0119, 2011. a

Hanegraaf, M. C., Hoffland, E., Kuikman, P. J., and Brussaard, L.: Trends in soil organic matter contents in Dutch grasslands and maize fields on sandy soils, Eur. J. Soil Sci., 60, 213–222, https://doi.org/10.1111/j.1365-2389.2008.01115.x, 2009. a

Hartge, K. H. and Horn, R.: Die physikalische Untersuchung von Böden, E. Schweizerbart'sche Verlagsbuchhandlung, Stuttgart, Germany, ISBN 978-3-510-65463-5, 2009. a

Hoffmeister, S., Maier, R., Nyoka, B. I., and Hassler, S. K.: Soil chemical, physical and hydrological characteristics in two agroforestry systems in Malawi, GFZ Data Services [data set], https://doi.org/10.5880/fidgeo.2025.026, 2025. a, b, c

Iden, S. C. and Durner, W.: Comment on “Simple consistent models for water retention and hydraulic conductivity in the complete moisture range” by A. Peters, Water Resour. Res., 50, 7530–7534, https://doi.org/10.1002/2014WR015937, 2014. a

Ikerra, S. T., Maghembe, J. A., Smithson, P. C., and Buresh, R. J.: Soil nitrogen dynamics and relationships with maize yields in a gliricidia-maize intercrop in Malawi, Plant Soil, 211, 155–164, https://doi.org/10.1023/A:1004636501488, 1999. a, b, c, d, e, f

ISO 11277:2002: Soil quality – Determination of particle size distribution in mineral soil material – Method by sieving and sedimentation – Technical Corrigendum 1, 2002. a

IUSS Working Group WRB: World Reference Base for Soil Resources. International soil classification system for naming soils and creating legends for soil maps, International Union of Soil Sciences (IUSS), Vienna, Austria, 4th edn., ISBN 979-8-9862451-1-9, 2022. a, b

Iwasaki, S., Endo, Y., and Hatano, R.: The effect of organic matter application on carbon sequestration and soil fertility in upland fields of different types of Andosols, Soil Sci. Plant Nutr., 63, 200–220, https://doi.org/10.1080/00380768.2017.1309255, 2017. a, b

Jose, S.: Agroforestry for ecosystem services and environmental benefits: an overview, Agroforestry Systems, 76, 1–10, https://doi.org/10.1007/s10457-009-9229-7, 2009. a, b

Kerr, A.: Drought resilience of maize-legume agroforestry systems in Malawi, Ph.D. thesis, UC Berkeley Electron, 2012. a, b, c

Kirsten, M., Mikutta, R., Vogel, C., Thompson, A., Mueller, C. W., Kimaro, D. N., Bergsma, H. L. T., Feger, K.-H., and Kalbitz, K.: Iron oxides and aluminous clays selectively control soil carbon storage and stability in the humid tropics, Sci. Rep., 11, 5076, https://doi.org/10.1038/s41598-021-84777-7, 2021. a

Kuyah, S., Whitney, C. W., Jonsson, M., Sileshi, G. W., Öborn, I., Muthuri, C. W., and Luedeling, E.: Agroforestry delivers a win-win solution for ecosystem services in sub-Saharan Africa. A meta-analysis, Agronomy for Sustainable Development, 39, https://doi.org/10.1007/s13593-019-0589-8, 2019. a

Kwesiga, F., Akinnifesi, F. K., Mafongoya, P. L., McDermott, M. H., and Agumya, A.: Agroforestry research and development in southern Africa during the 1990s: Review and challenges ahead, Agroforestry Systems, 59, 173–186, https://doi.org/10.1023/B:AGFO.0000005222.68054.38, 2003. a

Lado, M., Paz, A., and Ben-Hur, M.: Organic Matter and Aggregate‐Size Interactions in Saturated Hydraulic Conductivity, Soil Sci. Soc. Am. J., 68, 234–242, https://doi.org/10.2136/sssaj2004.2340, 2004. a

Lal, R.: Soil organic matter and water retention, Agronomy Journal, 112, 3265–3277, https://doi.org/10.1002/agj2.20282, 2020. a, b

Littmann, T. and Veste, M.: Evapotranspiration, transpiration and dewfall, in: Arid Dune Ecosystems: The Nizzana Sands in the Negev Desert, edited by: Breckle, S.-W., Yair, A., and Veste, M., 183–200, Springer, Berlin/Heidelberg, Germany, ISBN 978-3-540-75498-5, 2008. a

Lützow, M. V., Kögel‐Knabner, I., Ekschmitt, K., Matzner, E., Guggenberger, G., Marschner, B., and Flessa, H.: Stabilization of organic matter in temperate soils: mechanisms and their relevance under different soil conditions – a review, Eur. J. Soil Sci., 57, 426–445, https://doi.org/10.1111/j.1365-2389.2006.00809.x, 2006. a

Maier, R., Schack-Kirchner, H., Nyoka, B. I., and Lang, F.: Gliricidia intercropping supports soil organic matter stabilization at Makoka Research Station, Malawi, Geoderma Regional, 35, e00730, https://doi.org/10.1016/j.geodrs.2023.e00730, 2023. a, b, c, d, e, f

Makate, C., Makate, M., Mango, N., and Siziba, S.: Increasing resilience of smallholder farmers to climate change through multiple adoption of proven climate-smart agriculture innovations. Lessons from Southern Africa, J. Environ. Manage., 231, 858–868, https://doi.org/10.1016/j.jenvman.2018.10.069, 2019. a

Makumba, W., Janssen, B., Oenema, O., Akinnifesi, F. K., Mweta, D., and Kwesiga, F.: The long-term effects of a gliricidia–maize intercropping system in Southern Malawi, on gliricidia and maize yields, and soil properties, Agriculture, Ecosystems & Environment, 116, 85–92, https://doi.org/10.1016/j.agee.2006.03.012, 2006. a, b, c, d, e

Makumba, W., Akinnifesi, F. K., Janssen, B., and Oenema, O.: Long-term impact of a gliricidia-maize intercropping system on carbon sequestration in southern Malawi, Agriculture, Ecosystems & Environment, 118, 237–243, https://doi.org/10.1016/j.agee.2006.05.011, 2007. a, b, c

Makumba, W., Akinnifesi, F. K., and Janssen, B. H.: Spatial rooting patterns of gliricidia, pigeon pea and maize intercrops and effect on profile soil N and P distribution in southern Malawi, African Journal of Agricultural Research, 4, 278–288, 2009. a, b, c, d, e

Malunga, I., Lelei, J. J., and Makumba, W.: Effect of Mineral Nitrogen and Legume Intercrops on Maize (Zea Mays L.) Nitrogen Uptake, Nutrient Use Efficiency and Yields in Chitedze and Zomba, Malawi, Sustainable Agriculture Research, 7, 64, https://doi.org/10.5539/sar.v7n1p64, 2017. a, b, c

Mann, H. B. and Whitney, D. R.: On a Test of Whether one of Two Random Variables is Stochastically Larger than the Other, The Annals of Mathematical Statistics, 18, 50–60, https://doi.org/10.1214/aoms/1177730491, 1947. a

Mbow, C., Rosenzweig, C., Barioni, L. G., Benton, T. G., Herrero, M., Krishnapillai, M., Liwenga, E., Pradhan, P., Rivera-Ferre, M. G., Sapkota, T., Tubiello, F. N., and Xu, Y.: Food security, in: Climate Change and Land: an IPCC special report on climate change, desertification, land degradation, sustainable land management, food security, and greenhouse gas fluxes in terrestrial ecosystems, edited by: Shukla, P., Skea, J., Buendia, E. C., Masson-Delmotte, V., Pörtner, H.-O., Roberts, D., Zhai, P., Slade, R., Connors, S., van Diemen, R., Ferrat, M., Haughey, E., Luz, S., Neogi, S., Pathak, M., Petzold, J., Portugal Pereira, J., Vyas, P., Huntley, E., Kissick, K., Belkacemi, M., and Malley, J., Cambridge University Press, https://doi.org/10.1017/9781009157988.007, 2019. a, b

Mehra, O. P. and Jackson, M. L.: Iron Oxide Removal from Soils and Clays by a Dithionite-Citrate System Buffered with Sodium Bicarbonate, Clays and clay minerals, National Conference on Clays and Clay Minerals, 7, 317–327, https://doi.org/10.1346/CCMN.1958.0070122, 1958. a

Minasny, B. and McBratney, A. B.: Limited effect of organic matter on soil available water capacity, Eur. J. Soil Sci., 69, 39–47, https://doi.org/10.1111/ejss.12475, 2018. a

Montanarella, L., Pennock, D. J., McKenzie, N., Badraoui, M., Chude, V., Baptista, I., Mamo, T., Yemefack, M., Singh Aulakh, M., Yagi, K., Young Hong, S., Vijarnsorn, P., Zhang, G.-L., Arrouays, D., Black, H., Krasilnikov, P., Sobocká, J., Alegre, J., Henriquez, C. R., de Lourdes Mendonça-Santos, M., Taboada, M., Espinosa-Victoria, D., AlShankiti, A., AlaviPanah, S. K., Elsheikh, E. A. E. M., Hempel, J., Camps Arbestain, M., Nachtergaele, F., and Vargas, R.: World's soils are under threat, SOIL, 2, 79–82, https://doi.org/10.5194/soil-2-79-2016, 2016. a

Nabuurs, G., Masera, O., Andrasko, K., Benitez-Ponce, P., Boer, R., Dutschke, M., Elsiddig, E., Ford-Robertson, J., Frumhoff, P., Karjalainen, T., Krankina, O., Kurz, W., Matsumoto, M., Oyhantcabal, W., Ravindranath, N., Sanchez, M. S., and Zhang, X.: Forestry, Tech. rep., Cambridge, United Kingdom and New York, NY, USA, 2007. a

Nabuurs, G.-J., Mrabet, R., Abu Hatab, A., Bustamante, M., Clark, H., Havlík, P., House, J., Mbow, C., Ninan, K., Popp, A., Roe, S., Sohngen, B., and Towprayoon, S.: Agriculture, Forestry and Other Land Uses (AFOLU), in: Climate Change 2022 – Mitigation of Climate Change. Contribution of Working Group III to the Sixth Assessment Report of the Intergovernmental Panel on Climate Change, edited by: Shukla, P., Skea, J., Slade, R., Al Khourdajie, A., van Diemen, R., McCollum, D., Pathak, M., Some, S., Vyas, P., Fradera, R., Belkacemi, M., Hasija, A., Lisboa, G., Luz, S., and Malley, J., 747–860, Cambridge University Press, Cambridge, United Kingdom and New York, NY, USA, ISBN 9781009157926, https://doi.org/10.1017/9781009157926.009, 2022. a

Nemes, A., Rawls, W. J., and Pachepsky, Y. A.: Influence of Organic Matter on the Estimation of Saturated Hydraulic Conductivity, Soil Sci. Soc. Am. J., 69, 1330–1337, https://doi.org/10.2136/sssaj2004.0055, 2005. a

Nimmo, J. R. and Akstin, K. C.: Hydraulic Conductivity of a Sandy Soil at Low Water Content After Compaction by Various Methods, Soil Sci. Soc. Am. J., 52, 303–310, https://doi.org/10.2136/sssaj1988.03615995005200020001x, 1988. a, b, c

Odhiambo, H. O., Ong, C. K., Deans, J. D., Wilson, J., Khan, A. A., and Sprent, J. I.: Roots, soil water and crop yield: Tree crop interactions in a semi-arid agroforestry system in Kenya, Plant Soil, 235, 221–233, https://doi.org/10.1023/A:1011959805622, 2001. a

Olsson, L., Barbosa, H., Bhadwal, S., Cowie, A., Delusca, K., Flores-Renteria, D., Hermans, K., Jobbagy, E., Kurz, W., Li, D., Sonwa, D. J., Stringer, L., Crews, T., Dallimer, M., Eekhout, J., Erb, K., Haughey, E., Houghton, R., Iqbal, M. M., Johnson, F. X., Lee, W. K., Morton, J., Oliva, F. G., Petzold, J., Rahimi, M., Renou-Wilson, F., Tengberg, A., Verchot, L., Vincent, K., Moreno, J. M., Vera, C., Barau, A. S., Olsson, L., Barbosa, H., Bhadwal, S., Cowie, A., Delusca, K., Flores-Renteria, D., Hermans, K., Jobbagy, E., Kurz, W., Li, D., Sonwa, D. J., and Stringer, L.: Land degradation, in: Climate Change and Land, 345–436, Cambridge University Press, ISBN 9781009157988, https://doi.org/10.1017/9781009157988.006, 2019. a

Pachepsky, Y. and Rawls, W.: Soil structure and pedotransfer functions, Eur. J. Soil Sci., 54, 443–452, https://doi.org/10.1046/j.1365-2389.2003.00485.x, 2003. a, b

Paradelo, R., van Oort, F., and Chenu, C.: Water-dispersible clay in bare fallow soils after 80 years of continuous fertilizer addition, Geoderma, 200-201, 40–44, https://doi.org/10.1016/j.geoderma.2013.01.014, 2013. a

Peters, A., Durner, W., and Iden, S.: The PDI model system for parameterizing soil hydraulic properties, Vadose Zone J., 23, 1–20, https://doi.org/10.1002/vzj2.20338, 2024. a, b

Ramachandran Nair, P. K., Mohan Kumar, B., and Nair, V. D.: Agroforestry as a strategy for carbon sequestration, Journal of Plant Nutrition and Soil Science, 172, 10–23, https://doi.org/10.1002/jpln.200800030, 2009. a

Rasmussen, C., Heckman, K., Wieder, W. R., Keiluweit, M., Lawrence, C. R., Berhe, A. A., Blankinship, J. C., Crow, S. E., Druhan, J. L., Hicks Pries, C. E., Marin-Spiotta, E., Plante, A. F., Schädel, C., Schimel, J. P., Sierra, C. A., Thompson, A., and Wagai, R.: Beyond clay: towards an improved set of variables for predicting soil organic matter content, Biogeochemistry, 137, 297–306, https://doi.org/10.1007/s10533-018-0424-3, 2018. a

Rawls, W., Nemes, A., and Pachepsky, Y.: Effect of soil organic carbon on soil hydraulic properties, in: Development of Pedotransfer Functions in Soil Hydrology, vol. 30 of Developments in Soil Science, 95–114, Elsevier, https://doi.org/10.1016/S0166-2481(04)30006-1, 2004. a

Rawls, W. J., Pachepsky, Y. A., Ritchie, J. C., Sobecki, T. M., and Bloodworth, H.: Effect of soil organic carbon on soil water retention, Geoderma, 116, 61–76, https://doi.org/10.1016/S0016-7061(03)00094-6, 2003. a, b

Ribeiro‐Barros, A. I., Silva, M. J., Moura, I., Ramalho, J. C., Máguas‐Hanson, C., and Ribeiro, N. S.: The Potential of Tree and Shrub Legumes in Agroforestry Systems, in: Nitrogen in Agriculture - Updates, edited by: Amanullah, K. and Fahad, S., InTech, Rijeka, Croatia, ISBN 978-953-51-3768-9, https://doi.org/10.5772/intechopen.69995, 2018. a

Schweizer, S. A., Mueller, C. W., Höschen, C., Ivanov, P., and Kögel-Knabner, I.: The role of clay content and mineral surface area for soil organic carbon storage in an arable toposequence, Biogeochemistry, 156, 401–420, https://doi.org/10.1007/s10533-021-00850-3, 2021. a

Sheppard, J. P., Bohn Reckziegel, R., Borrass, L., Chirwa, P. W., Cuaranhua, C. J., Hassler, S. K., Hoffmeister, S., Kestel, F., Maier, R., Mälicke, M., Morhart, C., Ndlovu, N. P., Veste, M., Funk, R., Lang, F., Seifert, T., du Toit, B., and Kahle, H.-P.: Agroforestry: An Appropriate and Sustainable Response to a Changing Climate in Southern Africa?, Sustainability, 12, 6796, https://doi.org/10.3390/su12176796, 2020. a, b

Shi, L., Feng, W., Xu, J., and Kuzyakov, Y.: Agroforestry systems: Meta‐analysis of soil carbon stocks, sequestration processes, and future potentials, Land Degradation & Development, 29, 3886–3897, https://doi.org/10.1002/ldr.3136, 2018. a

Sileshi, G. W., Mafongoya, P. L., Akinnifesi, F. K., Phiri, E., Chirwa, P., Beedy, T., Makumba, W., Nyamadzawo, G., Njoloma, J., Wuta, M., Nyamugafata, P., and Jiri, O.: Agroforestry: Fertilizer Trees, in: Encyclopedia of Agriculture and Food Systems, 222–234, Elsevier, ISBN 9780080931395, https://doi.org/10.1016/B978-0-444-52512-3.00022-X, 2014. a

Siriri, D., Wilson, J., Coe, R., Tenywa, M. M., Bekunda, M. A., Ong, C. K., and Black, C. R.: Trees improve water storage and reduce soil evaporation in agroforestry systems on bench terraces in SW Uganda, Agroforestry Systems, 87, 45–58, https://doi.org/10.1007/s10457-012-9520-x, 2013. a

Six, J., Conant, R. T., Paul, E. A., and Paustian, K.: Stabilization mechanisms of SOM implications for C saturation of soils.pdf, Plant Soil, 241, 155–176, https://doi.org/10.1023/A:1016125726789, 2002. a, b

Stewart, C. E., Paustian, K., Conant, R. T., Plante, A. F., and Six, J.: Soil carbon saturation: Evaluation and corroboration by long-term incubations, Soil Biol. Biochem., 40, 1741–1750, https://doi.org/10.1016/j.soilbio.2008.02.014, 2008. a

Trisos, C., Adelekan, I., Totin, E., Ayanlade, A., Efitre, J., Gemeda, A., Kalaba, K., Lennard, C., Masao, C., Mgaya, Y., Ngaruiya, G., Olago, D., Simpson, N., and Zakieldeen, S.: Africa, in: Climate Change 2022: Impacts, Adaptation and Vulnerability. Contribution of Working Group II to the Sixth Assessment Report of the Intergovernmental Panel on Climate Change, edited by: Pörtner, H.-O., Roberts, D., Tignor, M., Poloczanska, E., Mintenbeck, K., Alegría, A., Craig, M., Langsdorf, S., Löschke, S., Möller, V., Okem, A., and Rama, B., 1285–1455, Cambridge University Press, Cambridge, UK and New York, NY, USA, https://doi.org/10.1017/9781009325844.011, 2022.  a

Tumushabe, J. T.: Climate Change, Food Security and Sustainable Development in Africa, in: The Palgrave Handbook of African Politics, Governance and Development, edited by Oloruntoba, S.O., Falola, T., 853–868, Palgrave Macmillan US, New York, ISBN 978-1-349-95231-1, https://doi.org/10.1057/978-1-349-95232-8_53, 2018. a

Valdivia, C., Barbieri, C., and Gold, M. A.: Between Forestry and Farming: Policy and Environmental Implications of the Barriers to Agroforestry Adoption, Canadian Journal of Agricultural Economics/Revue canadienne d'agroeconomie, 60, 155–175, https://doi.org/10.1111/j.1744-7976.2012.01248.x, 2012. a

Van Genuchten, M. T.: A Closed-form Equation for Predicting the Hydraulic Conductivity of Unsaturated Soils, Soil Sci. Soc. Am. J., 44, 892–898, https://doi.org/10.2136/sssaj1980.03615995004400050002x, 1980. a

van Reeuwijk, L. P.: Procedures for Soil Analysis, Tech. rep, International Soil Reference and Information Centre (ISRIC), Technical Paper, https://files.isric.org/public/documents/ISRIC_TechPap09.pdf (last access: 18 February 2026), 2002. a

Wilcoxon, F.: Individual Comparisons by Ranking Methods, Biometrics Bulletin, 1, 80, https://doi.org/10.2307/3001968, 1945. a

Williams, J., Prebble, R., Williams, W., and Hignett, C.: The influence of texture, structure and clay mineralogy on the soil moisture characteristic, Soil Res., 21, 15, https://doi.org/10.1071/SR9830015, 1983. a, b

Download
Short summary
Combining trees and crops in agroforestry systems can potentially be a sustainable option for agriculture facing climate change impacts. We used methods from soil science and hydrology to assess the effect of adding gliricidia trees to maize fields, on carbon content, soil properties and water availability. Our results show a clear increase in carbon contents and effects on physical soil characteristics and water uptake and retention as a consequence of the agroforestry treatment.
Share
Altmetrics
Final-revised paper
Preprint