Articles | Volume 23, issue 4
https://doi.org/10.5194/bg-23-1681-2026
https://doi.org/10.5194/bg-23-1681-2026
Research article
 | 
03 Mar 2026
Research article |  | 03 Mar 2026

Effects of basalt and biochar addition on base cations and trace metals in plants and soil in an urban field trial

Arthur Vienne, Jennifer Newell, Jasper Roussard, Rory Doherty, Siobhan F. Cox, Gary Lyons, and Sara Vicca
Abstract

Enhanced weathering (EW) and biochar amendment are proposed carbon dioxide removal (CDR) techniques with potential co-benefits for soil health and plant productivity. However, knowledge gaps remain regarding their impacts on soil carbon dynamics and heavy metal mobility. This study investigates the effects of basalt and biochar amendments on soil base cation dynamics, biomass yield and trace metal uptake in clover (Trifolium pratense) and mustard (Brassica juncea) field plots.

Basalt addition did not increase soil inorganic carbon, Tessier-extractable base cations, or dissolved inorganic carbon (DIC) in leachates, indicating no detectable inorganic C sequestration during this experiment. Weathering of the relatively coarse, albite-rich basalt may have been limited in the alkaline soil and/or the weathering products were retained in soil pools not accessible to the extraction scheme. Basalt increased Ni and Cr in the reducible soil fraction but did not elevate plant metal concentrations and even tended to reduce Ni and Zn in leachates. Biochar increased plant biomass, mustard phosphorus and reduced plant uptake of several trace metals in both mustard and clover plants, while basalt did not affect any of the 33 assessed elements in aboveground plant biomass. Co-application of basalt and biochar did not lead to observable rock weathering while also no synergistic gains in biomass or reductions in plant heavy metals were observed after co-amendment in this alkaline soil. Overall, our findings suggest that in this alkaline urban soil, basalt weathering was limited and provided few immediate co-benefits, whereas biochar showed clearer advantages for plant growth and metal immobilization.

Share
1 Introduction

The accelerating impacts of climate change necessitate urgent action to mitigate rising atmospheric carbon dioxide (CO2) concentrations (IPCC, 2021). Beyond emission reductions, carbon dioxide removal (CDR) technologies have emerged as critical tools for achieving net-zero climate goals (Fuss et al., 2018; Rogelj et al., 2018). There has been increasing interest in establishing CDR within existing infrastructure (Beesley and Hardman, 2024).

Urban Nature-Based Solutions (NBS) are designed to protect and restore modified ecosystems to address multiple environmental and societal challenges, including climate resilience and human well-being (Cohen-Shacham et al., 2016). These NBS may comprise forested or agricultural systems, community gardens and allotments, wetland parks and lagoons, or building modifications such as green walls or roofing (Almassy and Maia, 2022). Urban sites are understudied, despite often reporting highly heterogeneous soils with considerable and variable potentially toxic element contamination, and thus variable potential response to CDR methods (Haque et al., 2021). Urban NBS implemented for CDR often focus on boosting plant biomass, and thus biological carbon capture.The second focus of urban NBSs is improving the commonly poor urban soil quality and C content (Buss et al., 2021; Farooqi et al., 2018; Taylor et al., 2021).

Two of such soil-based CDR techniques are enhanced weathering (EW) and soil biochar amendment. EW has garnered increasing attention due to its dual role in CO2 removal and potential co-benefits for soil health and nutrient dynamics (Beerling et al., 2018, 2020; Haque et al., 2020a). EW involves the application of finely ground silicate or carbonate minerals to land, where they chemically react with CO2 and water to increase dissolved inorganic C (DIC). Released base cations in soil water can also precipitate as solid carbonates, a second potential inorganic CO2 removal pathway. Despite its potential, reported EW field studies remain scarce till date (Dupla et al., 2024; Haque et al., 2020b; Kantola et al., 2023; Larkin et al., 2022). In addition, there are concerns about the rate of basalt weathering and thus associated CDR rates (Power et al., 2025). Last, potential contamination of the food chain by heavy metals may be a concern, as basalt dust contains can contain trace metals such as Ni, Cr and Cu (Dupla et al., 2023).

A second soil-based CDR technique, biochar, is more established. As of 2025, biochar certificates dominate the voluntary C market for durable CDR credits (CDR.fyi, 2026). Biochar, the solid product yield of pyrolysis, is a stable form of C. Inertinite, the most stable form of biochar, even has a typical half life of 100 million years at 30 °C (Sanei et al., 2024). According to a recent analysis with 64 commercial biochar samples, 76 % of samples consisted of pure inertinite, increasing the confidence for using biochar as a permanent CDR solution (Sanei et al., 2024). Additional advantages of biochar as a CDR technique include the generation of bio-energy in pyrolysis and adsorption of contaminants from (soil) water by biochar.

Synergies between both EW and biochar have been postulated; Biochar has been hypothesized to increase weathering rates of EW and reduce accumulation of trace metals in soil waters (Amann and Hartmann, 2019). The latter is expected to follow from metal sorption to biochar, reducing cation concentrations in soil water. According to the principle of chemical equilibrium, more base cations can consequently dissolve into solution. Biochar-induced hydrological changes may also enhance weathering. In sandy soils (like will be used in our study, see further) increased water-holding capacity could prolong water–mineral contact and thus promote weathering (Vorrath et al., 2025). This way, sorption of base cations by biochar may increase rock dissolution. Nonetheless, in a mesocosm study, Honvault et al. (2024) did not detect any synergistic effects of biochar and basalt on CDR and therefore concluded that their effects were additive; however, data on this topic remain scarce.

Because sorbed base cations on biochar largely occupy exchange sites, they remain in the exchangeable pool and can re-dissolve later, which is desirable as this causes an increase of DIC in soil water. Likewise, trace metals added with basalt could be sorbed by biochar (in fractions with low bioavailability), which is especially relevant in urban, contaminated brownfield soils used for food production. Co-deployment of biochar and enhanced weathering could thus provide synergies for CDR and reduce the risk of heavy metal contamination.

In an urban agricultural field experiment, we tested whether co-applying basalt and biochar in urban plots yields synergies for enhanced weathering, inorganic CO2 removal, and reduced plant metal uptake. To investigate weathering and inorganic C sequestration, we monitored base cations (in different soil pools and in leachates) and weathering products in soil from field plots treated with basalt, biochar, or both. We also analyzed aboveground plant biomass and trace metals in plants. Specifically, we evaluated biomass yields and trace metal uptake in two crop species: clover (Trifolium pratense) and mustard (Brassica juncea). We hypothesize that biochar would enhance basalt weathering, while simultaneously mitigating trace metal accumulation in plants through sorption into low-bioavailability biochar fractions.

2 Methods

2.1 Site characteristics and timeline

The field experiment was undertaken at a prospective NBS site on the Lower Botanic Gardens in south Belfast, Northern Ireland, UK (54.57872, 5.93065) (Fig. 1). The site measures  3.2 ha and is a public grass-turfed, tree-lined space in an urban residential area adjacent to the River Lagan. Underlying geology comprises Sherwood sandstone, glaciofluvial till, and estuarine alluvial silt deposits. Superficial geology comprises 2–3 m of clay-sand and heterogenous historical industrial and residential waste infill (including brickworks, steelworks, bottle-works), and a  0.4 m surface layer of imported topsoil.

https://bg.copernicus.org/articles/23/1681/2026/bg-23-1681-2026-f01

Figure 1Experiment location in Belfast, Northern Ireland, UK. Map data © 2026 Google; Imagery and data provided by SIO, NOAA, U.S. Navy, NGA, GEBCO, Landsat/Copernicus, IBCAO, GeoBasis-DE/BKG and U.S. Geological Survey (USGS).

At the day of amendment grass was stripped, and basalt and biochar were mixed in the upper 5 cm of soil. Amendment of the clover plots occurred on 16 May 2023, while adjacent mustard plots received basalt on 20 November 2023. For both crops, four treatments were established: besides a control (C), basalt (B), basalt and biochar (BBio) and biochar only (Bio) treatments were considered. Clover plots were 1.5 m × 2 m and arranged in a fixed order. Mustard plots were 1 m × 1 m and arranged in a fixed order as per the clover plots (Fig. 2). Basalt treatments received an equivalent of 40 t basalt ha−1 while biochar was added at an application rate of 33 t ha−1, in range with typical application rates in other studies (Anthony et al., 2025; Boito et al., 2025; Liu et al., 2013; Steinwidder et al., 2025). Permanent TOMST temperature and soil water content (SWC) sensors were installed at each plot, and SWC and temperature at a depth of 6, +2, and +15 cm were monitored. Clover plots were seeded with Trifolium pratense at 4.5 g m−2, while Mustard plots were seeded with Brassica juncea at 2.0 g m−2. Seeding took place just after adding soil amendments.

https://bg.copernicus.org/articles/23/1681/2026/bg-23-1681-2026-f02

Figure 2Schematic overview of (A) clover plots and (B) mustard plots with treatments, plot numbers, plot sizes and spacing between plots. (C) Picture of amendment of the clover field plots. The stripped grass plots, yellow mixer to homogenize soils, white TMS TOMST temperature and soil moisture sensors can be identified.

Download

2.2 Soil, basalt and biochar properties

A Paleogene basalt from the upper basalt formation in Northern Ireland was sourced from a local quarry. Basalt elemental composition was characterized using XRF, while basalt mineralogy was also measured using XRD (Table 1). Biochar was produced from dried and pelletized solid fraction of digestate from an anaerobic digester at AFBI Hillsborough. To produce this digestate, 20 m3 of dairy cattle slurry and 4 t of perennial ryegrass silage were fed daily to a continuously stirred tank reactor anaerobic digestion facility consisting of a 650 m3 main digestion tank, heated to 39 °C, with a hydraulic retention time of 28 d for biogas production. Biochar was produced from mechanically separated (Screw Press) anaerobic digestate solid fraction. Digestate pellets were pyrolysed using a Biomacon C100–F Pyrolysis Boiler (RandS Biomass Equipment Ltd, Newtownstewart, NI) at a feed rate of 21 kg h−1 and pyrolysis chamber temperature of 675 ± 5 °C. Laboratory characterisation of the digestate Biochar was undertaken by a commercial accredited laboratory (Eurofins Umwelt Gmbh, Germany) (Table 1). The dry biochar had a H / Corg ratio of 0.11 and an O / C molar ratio of 0.011. The utilized slurry/silage mix resulted in a biochar relatively low in C but high in minerals; Both the digestate and resulting biochar were therefore already nutrient-loaded and would supply nutrients to the soil rather than removing them, reducing the need for additional biochar nutrient charging. The studied soil was an alkaline soil (pH = 8.22 ± 0.5) with a SOC content of 3.70 ± 0.22 (Table 2).

2.3 Soil sampling and measurements

Soils of clover plots were sampled on 19 May 2023 for the initial sample, and on 12 November 2024 for the final sample (Table S1). The upper 5 cm of soil (amendment depth) was sampled using a kopecky ring (5 cm diameter). Loss on ignition (LOI) was measured for clover planted plots. Soil organic carbon (SOC) was determined through LOI: approximately 1 g of dry sample was weighed using an analytical balance. Next, this sample was heated from 105 to 550 °C for 1 hour and maintained at 550 °C for 4 h in a Nabertherm Economy Muffle Furnace. After overnight cooling to 105 °C, the sample was weighed again on an analytical balance. Assuming a C percentage of 58 % (Van Bemmelen, 1890), the weight loss (which represents soil organic matter (SOM) and was converted into SOC.

Soil-bound cations were extracted twice using the sequential extraction scheme of Tessier et al. (1979). In this sequential leaching protocol, we distinguish (base) cations in four different consecutive fractions: the exchangeable, carbonate-, (hydr)oxide- and SOM-associated fractions. In the exchangeable soil pool, cations are bound to negatively charged surfaces of clay minerals or SOM and can be extracted with a weak salt solution (e.g. 1M BaCl2). The carbonate pool consists of minerals such as CaCO3, with its carbon typically reported as soil inorganic carbon (SIC). Quantifying carbonate-associated base cations can help circumvent common challenges related to carbon heterogeneity and the detection of relatively small SIC shifts (Kelland et al., 2020). Carbonates are extracted with acidic acetate solutions. In the reducible soil pool, base cations are linked to Fe- and Mn-(hydr)oxides and are extracted with 0.04 M NH2OH  HCl in 25 % acetic acid. Finally, in the oxidizable pool, cations are associated by stronger bounds to SOM or sulfides and are extracted with acidic H2O2 solutions. Tessier's sequential extractions were also used in recent EW studies (Boito et al., 2025; Niron et al., 2024; Steinwidder et al., 2025; Vienne et al., 2025). The Tessier protocol was slightly modified, as for the exchangeable extraction, 10 mL 1 M NH4-acetate was used rather than the more toxic BaCl2. In addition, Na acetate was replaced by a volumetric mixture of (1 mL: 4 mL: 5 mL of 3 M NH4-acetate: H2O : 1 M acetic acid) respectively to allow for Na analysis. In the four different soil fractions, elements were quantified using ICP-OES (iCAP 6300 duo, Thermo Scientific). In the soil sample taken immediately after amendment, Na, K, Mg, Ca, Fe, Al, Si, Ni, Cr, Zn, Cu and Pb were quantified in all fractions. For base cations, Al, Fe and Si these extractions were repeated in the final sampled soil samples of clover planted plots. Similar as in Larkin et al. (2022), SIC was quantified from base cations in these acetate leaching extracts, assuming 0.5 mol of solid carbonate-C per mol of base cation charge.

Table 1Biochar ((chemical composition) and basalt (chemical composition and particle size distribution) characteristics.

Download Print Version | Download XLSX

2.4 Soil leaching test

Leaching tests were conducted on soils from the clover plots. To assess potential elemental losses from the topsoil and evaluate basalt weathering and biochar effects on element mobility, we determined the capacity of the soil to leach cations and other elements using a standardized soil leaching protocol. Measurements were made on soil sampled immediately after biochar and/or basalt amendment and after 550 d. Soils for this leaching test came from the plots amended with clover. In this protocol, we leach 1 kopecky ring of soil (5 cm height, 5 cm diameter) with an 150 mL of rain water (collected in Antwerp, Belgium) to obtain at least 100 mL leachate water. This amount is roughly equivalent to the infiltration taking place in the field site over 81 d (estimate based on open source weather data).

After obtaining 100 mL leachate, sufficient for all executed analysis, we determined DIC, electrical conductivity (EC), dissolved nitrogen (N), phosphate and the following elements (K, Na, Ca, Mg, Al, Fe, Si, Ni, Cr, Zn, Cu). Elements, N and phosphate were measured only on leachates of the initially sampled soils, while EC, DIC and pH were measured also on the soil sampled after 550 d. Leachate samples were filtered through a 0.45 µm PET filter. DIC was measured using a FormacsHT with LAS sampler (Skalar – NLD). pH and EC were measured with a Hanna Instruments (HI6522-02) analyzer. Dissolved elements were measured through ICP-OES (iCAP 6300 duo, Thermo Scientific). Before analysis, ICP samples were conserved using 1.5 mL (HNO3 69 %) per 30 mL sample. The elemental composition of the input water can be found in Table S4. All concentrations were multiplied with leachate volumes and divided by the mass of leached soil to convert units from mg L−1 to  µg element g−1 soil.

2.5 Plant measurements

Mustard was planted on 20 November 2023 and harvested after 182 d (7 May 2024), and after 364 d (12 November 2024). Clover was planted in May 2023, and harvested after 172 d (13 November 2023), and after 354 d (7 May 2024). At the time of harvest, a 50 cm2 square in the NW corner (at 6 months) or SE corner (at 12 months) of each clover and mustard plot was isolated using a tape measure. All plant matter was removed from  5 mm above the soil surface (Griffin et al., 2017; Laird et al., 2017). Plants were oven dried at 65 °C for 72 h. Plant elemental concentrations were determined in the first crop harvest, six months after sowing. The growing period for elemental biomass analysis was thus November 2023–May 2024 for mustard and summer harvest May 2023–November 2023 for clover. Plants were weighed to derive biomass dry weight and ground to analyze plant elemental concentrations, which were quantified using ICP-MS (iCAP TQ ICP-MS, Thermo Scientific, US). The analyzed plant elements were: Ag, As, B, Ba, Be, Ca, Cd, Co, Cr, Cu, Fe, Ga, Ge, Li, Mg, Mn, Mo, Ni, P, Pb, Rb, Re, S, Se, Si, Sr, Ta, Ti, Tl, U, V, W, and Zn.

Table 2Background soil characteristics.

a Textures were derived from the control soil particle size distribution, measured using a mastersizer 2000 with a Hydro 2000G sample dispersion unit. b SOM was measured at day 0 in the control soils of clover plots and a SOC/SOM ratio of 0.58 was assumed (Van Bemmelen, 1890). c Measured at day 0 in the control soils of clover plots.

Download Print Version | Download XLSX

2.6 Data analysis

For measurements that were not repeated in time (i.e., plant elemental concentrations, heavy metal sequential extractions and leachate elements), we applied a multiple linear regression and a two-way anova using the lm and aov function in R and assessed the basalt, biochar and the basalt × biochar interaction effect. For measurements that were repeated in time (biomass, LOI, base cation soil data from sequential extractions and leachate pH, EC and DIC), a mixed linear model was constructed with basalt, biochar, time and their interactions as fixed factors and plot number as a random factor. Although weathering dynamics may initially show an exponential behavior, a linear model is more appropriate for our dataset with low temporal resolution. The mixed linear model was fitted using the lmer function from the lme4 package, after which a multiple anova was done using the anova function from the car library in R. If the interaction effects (biochar × basalt, basalt × time or biochar × time) were not statistically significant, a new model without the non-significant interaction effect was applied. All analyses were executed in R studio (R-4.0.5) and a significance threshold of 0.05 was used.

3 Results

3.1 Soil base cations and trace metals

Basalt significantly increased soil exchangeable Ca (+12 %) and reducible Mg (+91 %) (Fig. 3). The increase in exchangeable Ca and reducible Mg was however already detected in soils sampled just after basalt amendment. We did not detect increases in base cations in time in any of the four extracted soil pools (no positive basalt : time interaction effects were found) (Fig. 3). Hence, basalt did also not increase carbonate cations and SIC in time.

Biochar significantly increased base cations in the exchangeable pool (+320 % , +674 % , +31 % for K, Na and Mg respectively, Fig. 3). The biochar-stimulated exchange of K and Na decreased in time (Figure 3A and 3B). With biochar amendment, all base cations also increased significantly in the carbonate pool (+343 %, 184 %, 103 % and 110 % for K, Na, Ca and Mg respectively, Table S3). Again for Na, this increase significantly decreased with time (Table S3). We found no significant basalt × biochar interaction effects for any of the investigated base cations.

Si, Al and Fe distribution in soils can give further insights on the mobility of cations. Si increased in the reducible soil pool (+25 %, Table S3) and remained unchanged in other pools. Exchangeable Al was the only parameter for which a basalt × biochar interaction effect was observed (Table S3); Exchangeable Al increased after co-application of basalt and biochar (+232 %, Table S3). Basalt amendment significantly decreased Al and Fe (22 % and 92 % respectively, Table S3) in the carbonate soil pool and in the oxidizable pool (Fe: 18 %, Al: 14 %, Table S3). In the reducible pool, Fe did significantly increase (+36 %, Table S3) and also Al tended to increase in the reducible soil pool (p=0.10, +27 %). Reducible Al and Fe in the basalt treatment, however significantly decreased in time (Fig. S8, Table S3), potentially indicating formation of more crystalline secondary minerals, unextractable with the Tessier scheme.

For soil trace metals, we found that basalt significantly increased reducible Ni and Cr (+62 % and +45 % respectively, Table S2, Fig. 4) and oxidizable Ni (+18 %, Table S2, Fig. 4), while biochar decreased exchangeable Ni (41 %, Table S2, Fig. 4). We found no statistically significant basalt × biochar interaction effects for Ni or Cr. No significant effects of basalt, biochar or their interaction were found for Cu, Zn and Pb in any of the soil fractions (Table S2).

https://bg.copernicus.org/articles/23/1681/2026/bg-23-1681-2026-f03

Figure 3(A) K, (B) Na, (C) Ca and (D) Mg in µg element g−1 soil for different soil fractions in clover plots for different sampling times (initial = directly after amendment and last = after 550 d). Dots and error bars represent averages and standard errors. P values for basalt, biochar and time effects (p(B), p(Bio), p(t) respectively) are annotated on the plots. Significant positive and negative effects are indicated with a + and respectively. A vertical dotted line is plotted in between different soil fractions.

Download

https://bg.copernicus.org/articles/23/1681/2026/bg-23-1681-2026-f04

Figure 4Ni and Cr in the 4 different considered soil fractions. These soil elements were extracted after initial soil sampling in clover plots. P(B) and p(Bio) are p values for basalt and biochar, respectively. Carbonate-Ni, carbonate-Cr and exchangeable Cr were below detection limits and are not shown in this plot. Significant positive and negative effects are indicated with a + and respectively. A vertical dotted line is plotted in between different soil fractions.

Download

3.2 Soil leachates

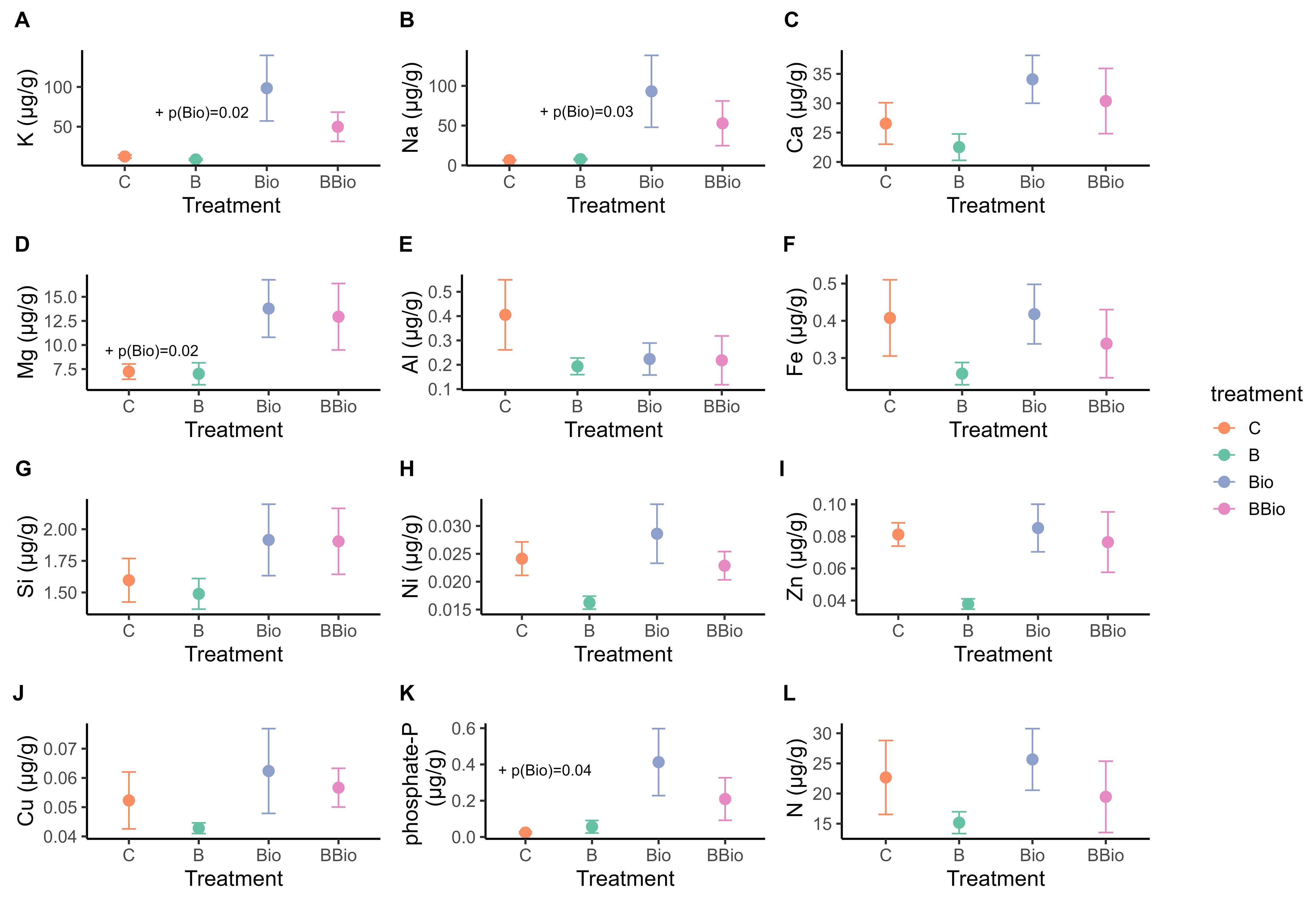
Basalt did not increase any of the measured elements in soil leachates (Fig. 5). In contrast, basalt even tended to decrease leachate Ni (p=0.06, 29 %, Fig. 5H) and Zn (p=0.08, 35 %, Fig. 5I). Also pH, DIC and EC were not significantly affected by basalt (Fig. S14). Biochar significantly increased Na, K, Mg and P in leachates (+348 %, +241 %, +84 % and +283 % respectively, Fig. 5A, B, C, K). These increases were also reflected in a significant rise in EC (+93 %, Fig. S14). We did not find significant basalt × biochar interaction effects on leachate concentrations of any of these elements, nor on DIC, EC and pH (Fig. S14).

https://bg.copernicus.org/articles/23/1681/2026/bg-23-1681-2026-f05

Figure 5Results from the soil leaching test for samples taken instantly after basalt and biochar amendments. Dots and error bars represent averages and standard errors of the mean. P(B) and p(Bio) are p values for basalt and biochar, respectively. Significant positive and negative effects are indicated with a + and respectively.

Download

3.3 Plant biomass

Basalt amendment did not significantly influence clover or mustard biomass, although a tendency towards higher biomass (p=0.07, +31 %, Fig. 6) was observed for mustard. Biochar did significantly increase biomass of both crops (mustard: +110 % and clover: +19 %, Fig. 6). No significant basalt × biochar interaction effects on biomass were observed (Fig. 6). While clover yield significantly decreased in time, mustard yield increased marginally, yet significantly in time.

3.4 Plant Trace metals

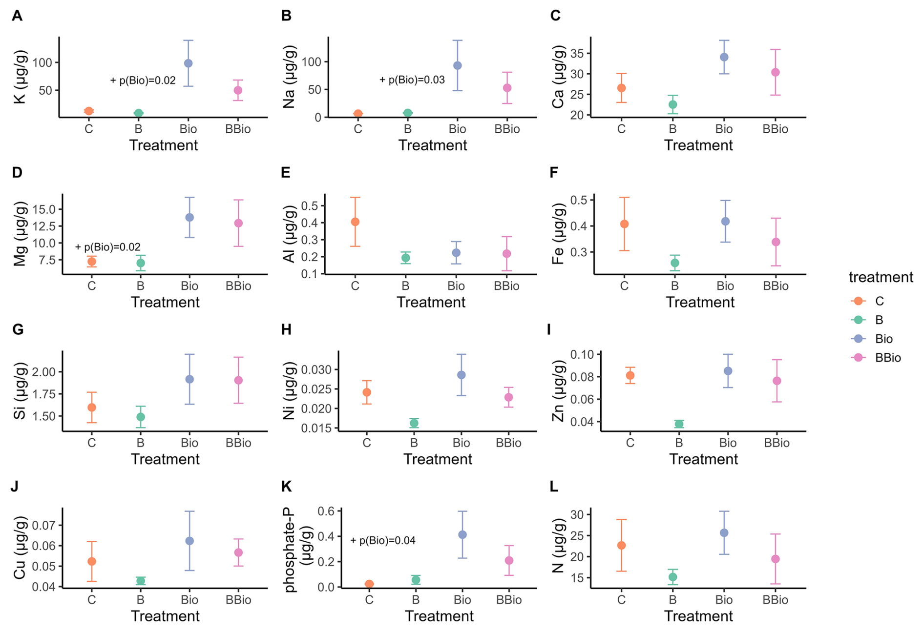
While basalt significantly increased reducible Ni and Cr in soils (Fig. 4), we did not observe increases for these elements and any of the other 33 assessed elements in aboveground biomass (Figs. 7 and S1–6), neither for clover, nor for mustard plants. In clover plants, Ti, V, Fe, Ga and Ge significantly decreased after biochar amendment (with 60 %, 61 %, 63 %, 63 %, 57 % respectively, Fig. 7). In mustard plants, biochar decreased concentrations of Mn, Zn and Cd (48 %, 32 % and 63 % respectively, Fig. 7). In contrast, biochar increased P (+30 %, Fig. 7) in mustard plants.

https://bg.copernicus.org/articles/23/1681/2026/bg-23-1681-2026-f06

Figure 6Aboveground dry biomass in function of time after amendment for (A) clover and (B) mustard plots. “N.S.” = Not significant, this is indicated when the interaction effect was tested for but was not statistically significant. p(B), p(Bio), p(t) and p(BxBio) represent p values of basalt, biochar, time and basalt × biochar effects. Dots and error bars represent mean biomass ± the standard error of the mean. Significant positive and negative effects are indicated with a + and respectively.

Download

https://bg.copernicus.org/articles/23/1681/2026/bg-23-1681-2026-f07

Figure 7Elements in clover or mustard plants for different treatments. Error bars represent averages ± standard errors. Only elements with significant changes are shown here. For all plant (trace) elements, we refer to Figs. S1–6. Significant positive and negative effects are indicated with a + and respectively. P(B), p(Bio) and p(B × Bio) are p values for basalt and biochar, and their interaction, respectively. N.S. = Not significant.

Download

4 Discussion

4.1 Effects on inorganic CDR and soil chemistry

While initially after basalt amendment, a peak of exchangeable Ca and reducible Mg was observed in top soil (0–5 cm), these element pools did not increase in time. We also did not observe accumulation of base cations in any of the other extracting soil pools, including the carbonate pool 550 d after the start of the experiment. The lack of an increase in base cations in the carbonate fraction indicates that soil carbonates or SIC did not increase. The absence of accumulation of base cations topsoil over time can indicate that positively charged base cations, along with negatively charged bicarbonate, leached into deeper soil layers. Nonetheless, the leaching test with topsoil samples showed no increase in leaching of base cations or DIC.

Hence, the absence of an accumulation of base cations in any of the four extracted soil pools as well as in the leachates implies either no detectable basalt weathering within 550 d or redistribution of released base cations such as Ca into secondary minerals or strongly bound pools not accessible by the Tessier extraction scheme. Limited weathering may have occurred as the utilized basalt had a relatively coarse particle size. Moreover, 62 % of the basalt was identified to be albite, a mineral with a low weathering rate (approximately 10−12 mol m−2 s−1 at pH 8, Palandri and Kharaka, 2004) and the 31 % pyroxene minerals present also have a relatively low weathering rate at pH 8 (augite for example also dissolves at a rate of  10−12 mol m−2 s−1 at pH 8). Nonetheless, there was also 6 % olivine present in the rock feedstock, for which we expect a theoretical weathering rate of  10−10 at this pH. We cannot exclude the possibility that leaching of air-dried topsoil as done here underestimates field leaching (e.g., via preferential flows and limited cation extraction efficiency in air-dried topsoil). In addition, base cations may have been scavenged by newly formed clay minerals (Pogge von Strandmann et al., 2025). Ca could for example have precipitated as Ca-montmorillonite, making it unextractable with the Tessier protocol, even if weathering occurred. In other words, secondary oxides and clays may have formed but gone undetected if they were retained in a residual soil fraction resistant to extraction (Steinwidder et al., 2025). Clay-like material (including precursor clay minerals and protoclays) were previously identified in natural Northern-Irish basalts similar to the one used in this experiment (Cox et al., 2017). Recent studies have suggested the potentially significant production of secondary minerals and associated degassing of bicarbonate (Iff et al., 2024; Niron et al., 2024; Steinwidder et al., 2025; Vienne et al., 2025).

Importantly, basalt application did not increase concentrations of trace metals in the most bio-available soil pool, i.e., the exchangeable pool, and even decreased Zn and Ni leaching in our leaching test. On the other hand elevated levels of Ni and Cr were observed in the oxidizable and reducible pools, which are less bioavailable soil fractions (Al-Mur, 2020), suggesting limited mobility and uptake risk. Specifically, Ni showed significant accumulation in both the reducible fraction and the oxidizable fraction associated with SOM, while Cr increases were confined to the reducible pool. The tendency for lower Ni in leachates from basalt amended soils support that Ni was immobilized in the reducible pool (and potentially other soil pools not targeted by the extraction).

Chromium in soils is predominantly present as Cr(III), which has a strong tendency to adsorb or co-precipitate with iron oxides, especially at alkaline pH (van Raffe et al., 2025). In natural basaltic soils, Fe-oxides are known to be the main Cr scavengers (Sun et al., 2022). Acidity and organic acids can however promote leaching of these Fe-Cr-oxides. In natural basaltic soils in Northern Ireland (soils overlying the Antrim basalts, similar to the basalt used in this study), the availability of Cr in the soil was however extremely low due to the high stability of Cr bound to Fe-oxides (Cox et al., 2013, 2017). Similarly, Ni also associates with Fe oxides (Xu et al., 2007), but is likely to have a relatively higher tendency to leach from these oxides compared to Cr due to its different chemical behavior. Ni(II) has a smaller charge compared to tri- or hexavalent Cr and its ability to react with organic ligands increases its mobility (Barałkiewicz and Siepak, 1999). The higher accumulation of Ni in the oxidizable fraction following basalt addition thus likely reflects this affinity for organic complexes, while Cr remained predominantly in the reducible fraction indicative of its immobilization in Fe-Cr-oxides. These distributions indicate that the added metals were largely sequestered in more stable pools, reducing their immediate bioavailability to plants.

Biochar alone increased EC, K and Na in leachates, increased K, Na, and Mg in the exchangeable soil fraction, and K, Na, and Ca in the carbonate fraction. The latter increase in carbonate base cations is consistent with previous findings, as biochar is known to increase base cation exchange, contains carbonate minerals and promotes the formation of SIC (Amann and Hartmann, 2019; Dong et al., 2019; Vorrath et al., 2025). We presume that biochar caused trace elements to shift towards fractions that are chemically stable, immobile and biologically inert (Al-Mur, 2020). The only trace metal that was significantly affected by biochar in our sequential extractions was Ni, which significantly decreased in the exchangeable soil fraction.

We hypothesized that biochar would increase basalt weathering through retention of base cations in the exchangeable pool or through increased water–mineral contact (yet we did not observe a significant biochar effect on soil moisture, Fig. S10). In contrast with our hypothesis there were no synergistic basalt × biochar interaction effects for any of the base cations, neither in the soil fractions, nor in the leachates. Similarly, the trace metals did not show a significant basalt × biochar interaction effect for any of the soil pools and leachates.

In contrast with the hypothesis postulated by Amann and Hartmann (2019) and in agreement with Honvault et al. (2024), this suggests that the effects of basalt and biochar on soil base cations are additive rather than synergistic (Honvault et al., 2024). The soil texture in the soil utilized by Honvault et al. (2024) was similar (sandy loam), yet we expect higher weathering in their study as pH (in KCl) was only 5 and 66 % of their basalt had a more reactive pyroxene mineralogy, with only 18 % of relatively slower dissolving albite. Nonetheless, the synergy on weathering was also absent in the study by Honvault et al. (2024). Besides the latter study, we are not aware of other studies with full factorial basalt × biochar designs that investigated the fate of weathering products in the soil, so more research is needed to confirm this finding. In addition, more research should be done to assess how co-pyrolysis of basalt and biochar (Vorrath et al., 2025) influences inorganic CO2 removal and weathering products in the soil.

4.2 Plant Biomass

Basalt did not significantly affect biomass and plant trace metal concentrations in our experiment. Unlike in studies in acidic agricultural soils (e.g. Beerling et al., 2024) we did not observe a liming effect as the unamended control had already an alkaline pH (8.22 on average).

Biochar, on the other hand, significantly increased biomass of both clover and mustard plants. The 67 % increase in mustard biomass after biochar amendment in our study positively correlated with Mo, P, Rb, Mg and S in aboveground biomass, while it negatively correlated with Cd, Mn, Tl, Zn and U in aboveground biomass (Fig. S12). The biomass increase may (in part) be due to a P-fertilization effect, as mustard biomass-P increased and our digestate-derived biochar had a relatively high P2O5 content (40.6 g kg−1) and phosphates in biochar-amended soil leachates significantly increased. For clover, there was an inverse correlation between aboveground biomass Li, Co, V, Ge and Fe and aboveground biomass. We expect that lower amounts of toxic trace metals were taken up by clover in the biochar treatments. Nonetheless, we could not find robust models in which aboveground biomass was predicted by significant changes in aboveground biomass elements for both crops. It is possible that interactions with belowground nutrient dynamics, which were not captured in this study, played a role. Mustard yield was higher in the combined basalt + biochar treatment than in the single-amendment treatments in the first harvest, but this difference was not observed in the second harvest. Because overall yield levels did not differ between harvests, a general seasonal effect appears unlikely. The mechanism underlying this transient response in the combined treatment remains unclear.

The positive effect of biochar on clover biomass is in line with recent literature. Chen et al. (2021) found increased growth after fertilization with biochar albeit only when nitrate was co-applied. After amending with 33 t biochar ha−1, our observed clover yield relative to unamended controls was similar to the biomass increase after amending 5 % biochar (approximately 75 t biochar ha−1, assuming a bulk density of 1.5 kg L−1) in Pb contaminated soils (Meng et al., 2023). While biochar effectively stimulated biomass production, we did not observe any synergistic effect between basalt and biochar in promoting biomass production. Similarly, Honvault et al. (2024) reported no significant interaction when cultivating wheat, although they noted a positive trend in total plant biomass.

4.3 Trace metals in aboveground biomass

While we observed increases in reducible soil Ni and Cr after basalt amendment, we did not find higher concentrations of these metals in the plants after applying 40 t basalt ha−1, presumably because of the low bioavailability of metals in the reducible soil fraction. With a higher application rate of 74 t basalt ha−1, Honvault et al. (2024) did detect increases in wheat seed Ni to 5 mg kg−1, yet below the toxicity level for sensitive species (10 mg kg−1 dry weight) (Yusuf et al., 2011). With maize however, no significant increases in trace metals were observed in plant parts after amendment with a basalt range (10–200 t ha−1) to a soil with a pH (in H2O) of  6 (Rijnders et al., 2025).

While we only detected a decrease in exchangeable trace metals after biochar amendment for Ni, we found that multiple elements (V, Ti, Fe, Ga, Ge) decreased in aboveground clover biomass. This is in line with results of Pescatore et al. (2022), who found that biochar decreased several trace metals (Cr, Cu, Ni and Pb in this case) in the aboveground biomass of berseem clover. Also in mustard biochar decreased trace metals, in particular Mn, Zn and Cd. This is  in line with Zang et al. (2023) who found decreased Cd in mustard post biochar amendment. Similarly, Silva Gonzaga et al. (2019), observed decreases in plant Cu with mustard after biochar amendment. Biochar can reduce plant metal uptake through increasing pH. Biochar is typically alkaline (our biochar had a pH of 10.47) and can thus immobilize metals insoluble hydroxides and carbonates (Mei et al., 2025; Wang et al., 2022). In addition, the high surface area, porous structure and abundant functional groups (carboxyl, hydroxyl and phenoloic groups) can adsorb heavy metals (Viotti et al., 2024; Zhou et al., 2022).

Biochar reduced plant trace metal uptake, but no synergistic effect with basalt was observed. This aligns with the findings of Honvault et al. (2024), who observed no synergetic reduction in trace element uptake from basalt when co-applied with biochar. In our study, adding basalt on top of biochar did not further decrease trace metal uptake. Whereas Honvault et al. (2024) reported increased uptake with basalt under more acidic conditions, our alkaline soil likely already immobilized trace elements from basalt, and biochar did not modify this effect.

4.4 Limitations

This study sampled only the 0–5 cm soil layer and measured cations at two time points (day 0 and day 550), with leaching tests performed solely at day 550. Such a restricted temporal and vertical sampling scheme may have limited detection of treatment effects, as dissolved elements could have percolated below the sampled layer over the course of the experiment. Future studies incorporating deeper soil horizons and more frequent measurements would provide a more robust assessment of treatment-induced changes in soil cation dynamics.

Last, the absence of observation of significant changes in SOC (Fig. S11) may result from the relatively short experimental duration of this study. Monitoring soil CO2 efflux (SCE) can help overcome the difficulty of detecting short-term changes in SOC caused by spatial heterogeneity (Vienne et al., 2024). However, to draw mechanistic conclusions about SOC dynamics in planted soils, SCE measurements must be partitioned into SOM–derived respiration and rhizosphere respiration, which requires a specific experimental set-up (Boito et al., 2025).

5 Conclusions

In this urban field experiment, basalt amendment did not increase soil inorganic carbon, nor did it raise base cations in carbonate fractions or in leachates during a lab test, indicating no detectable inorganic C sequestration over 550 d. The most plausible explanation for this unexpected finding is retention of released cations in secondary minerals or strongly bound pools not captured by the Tessier extractions. Interestingly, basalt amendment shifted Ni and Cr towards less bioavailable (reducible/oxidizable) soil fractions, and did not increase metal concentrations in plant biomass.

In contrast with basalt, biochar did increase clover and mustard biomass and reduced plant uptake of several trace metals, which is consistent with expected agronomic and remediation co-benefits. Co-application of basalt and biochar did not show significant interaction effects, on weathering indicators, biomass, or plant metal uptake. The alkaline soil (pH  8.2), coarse basalt particle size and high albite content may have constrained basalt effects and detectability of the weathering in our experiment. Responses may differ in more acidic soils, with finer basalt and a more reactive mineralogy. Experiments across a range of soil pH, mineralogy and rock particle size are needed to further evaluate EW-driven inorganic C gains and any context-dependent synergies with biochar.

Code and data availability

Code and data used in this manuscript are publicly available on the zenodo platform of Arthur Vienne (https://doi.org/10.5281/zenodo.15001309, Vienne, 2025).

Supplement

The supplement related to this article is available online at https://doi.org/10.5194/bg-23-1681-2026-supplement.

Author contributions

JN and AV set up and conceptualized the experiment together. AV measured soil samples, conducted the data analysis and drafted the manuscript. JN measuredplant biomass and plant trace metals. JR assisted in drafting the discussion and provided expertise on biochar. JN, JR, SFC, SV, RD all contributed to writing the manuscript. GL sourced the biochar and provided details on its production and composition.

Competing interests

At least one of the (co-)authors is a member of the editorial board of Biogeosciences. The peer-review process was guided by an independent editor, and the authors also have no other competing interests to declare.

Disclaimer

Publisher's note: Copernicus Publications remains neutral with regard to jurisdictional claims made in the text, published maps, institutional affiliations, or any other geographical representation in this paper. The authors bear the ultimate responsibility for providing appropriate place names. Views expressed in the text are those of the authors and do not necessarily reflect the views of the publisher.

Acknowledgements

We thank Anne Cools, Steven Joosen and Anke De Boeck for their assistance with ICP-OES for sequential extraction samples; Queen's University Belfast Technical Support Staff for their aid in setting up the research plots and constructing gas collection chambers; Geoff Davis for undertaking XRD analysis; Dr. Bakul Budhiraja for assistance with climate data collection; Dr. Manus Carey for assistance with acid digestion and ICP-MS analysis of plant samples; and Northstone Materials for assistance with basalt procurement. An AI tool (Microsoft Copilot) was utilized to enhance the clarity, grammar, and phrasing of language in this manuscript.

Financial support

This research has been supported by the European Union's Horizon 2020 (UPSURGE project (grant no. 101003818)), the Fonds Wetenschappelijk Onderzoek (grant nos. 1S06325N and S004023N), and the UK Research and Innovation, Engineering and Physical Sciences Research Council (EPSRC Doctoral Training Partnership).

Review statement

This paper was edited by Daniel S. Goll and reviewed by Maria-Elena Vorrath and three anonymous referees.

References

Almassy, D. and Maia, S.: Urban Nature Atlas, Naturvation Project, NATURVATION, Central European University, https://una.city/sites/default/files/Analysis report_27Oct.pdf (last access: 23 February 2026), 2022. 

Al-Mur, B. A.: Geochemical fractionation of heavy metals in sediments of the Red Sea, Saudi Arabia, Oceanologia, 62, 31–44, https://doi.org/10.1016/j.oceano.2019.07.001, 2020. 

Amann, T. and Hartmann, J.: Ideas and perspectives: Synergies from co-deployment of negative emission technologies, Biogeosciences, 16, 2949–2960, https://doi.org/10.5194/bg-16-2949-2019, 2019. 

Anthony, T. L., Jones, A. R., and Silver, W. L.: Supplementing Enhanced Weathering With Organic Amendments Accelerates the Net Climate Benefit of Soil Amendments in Rangeland Soils, AGU Advances, 6, https://doi.org/10.1029/2024AV001480, 2025. 

Barałkiewicz, D. and Siepak, J.: Chromium, Nickel and Cobalt in Environmental Samples and Existing Legal Norms, Polish Journal of Environmental Studies, 8, 201–208, 1999. 

Beerling, D. J., Leake, J. R., Long, S. P., Scholes, J. D., Ton, J., Nelson, P. N., Bird, M., Kantzas, E., Taylor, L. L., Sarkar, B., Kelland, M., DeLucia, E., Kantola, I., Müller, C., Rau, G., and Hansen, J.: Farming with crops and rocks to address global climate, food and soil security perspective, Nature Plants, 4, 138–147, https://doi.org/10.1038/s41477-018-0108-y, 2018. 

Beerling, D. J., Kantzas, E. P., Lomas, M. R., Wade, P., Eufrasio, R. M., Renforth, P., Sarkar, B., Andrews, M. G., James, R. H., Pearce, C. R., Mercure, J. F., Pollitt, H., Holden, P. B., Edwards, N. R., Khanna, M., Koh, L., Quegan, S., Pidgeon, N. F., Janssens, I. A., and Banwart, S. A.: Potential for large-scale CO2 removal via enhanced rock weathering with croplands, Nature, 583, 242–248, https://doi.org/10.1038/s41586-020-2448-9, 2020. 

Beerling, D. J., Epihov, D. Z., Kantola, I. B., Masters, M. D., Reershemius, T., Planavsky, N. J., and Reinhard, C. T.: Enhanced weathering in the US Corn Belt delivers carbon removal with agronomic benefits, PNAS, 1–10, https://doi.org/10.1073/pnas.2319436121, 2024. 

Beesley, L. and Hardman, M.: Social prescribing of urban agriculture: The importance of minimizing risks from soil contamination, Cities, 149, 104971, https://doi.org/10.1016/j.cities.2024.104971, 2024. 

Boito, L., Steinwidder, L., Rijnders, J., Berwouts, J., Janse, S., Niron, H., Roussard, J., Vienne, A., and Vicca, S.: Enhanced Rock Weathering Altered Soil Organic Carbon Fluxes in a Plant Trial, Global Change Biology, 31, 1–19, https://doi.org/10.1111/gcb.70373, 2025. 

Buss, W., Yeates, K., Rohling, E. J., and Borevitz, J.: Enhancing natural cycles in agro-ecosystems to boost plant carbon capture and soil storage, Oxford Open Climate Change, 1, 1–13, https://doi.org/10.1093/oxfclm/kgab006, 2021. 

CDR.fyi: CDR.fyi, CDR.fyi Inc., https://www.cdr.fyi/ (last access: 23 February 2026), 2026. 

Chen, L., Li, W., and Xiao, Y.: Biochar and nitrogen fertilizer increase Glomus synergism and abundance and promote Trifolium pratense growth while inhibiting pollutant accumulation, Ecological Indicators, 133, 108377, https://doi.org/10.1016/j.ecolind.2021.108377, 2021. 

Cohen-Shacham, E., Walters, G., Janzen, C., and Maginnis, S.: Nature-based Solutions to address global societal challenges, IUCN, Gland, Switzerland, https://doi.org/10.2305/IUCN.CH.2016.13.en, 2016. 

Cox, S. F., Chelliah, M. C. M., McKinley, J. M., Palmer, S., Ofterdinger, U., Young, M. E., Cave, M. R., and Wragg, J.: The importance of solid-phase distribution on the oral bioaccessibility of Ni and Cr in soils overlying Palaeogene basalt lavas, Northern Ireland, Environmental Geochemistry and Health, 35, 553–567, https://doi.org/10.1007/s10653-013-9539-6, 2013. 

Cox, S. F., Rollinson, G., and McKinley, J. M.: Mineralogical characterisation to improve understanding of oral bioaccessibility of Cr and Ni in basaltic soils in Northern Ireland, Journal of Geochemical Exploration, 183, 166–177, https://doi.org/10.1016/j.gexplo.2017.02.006, 2017. 

Dong, X., Singh, B. P., Li, G., Lin, Q., and Zhao, X.: Biochar increased field soil inorganic carbon content five years after application, Soil and Tillage Research, 186, 36–41, https://doi.org/10.1016/j.still.2018.09.013, 2019. 

Dupla, X., Möller, B., and Baveye, P. C.: Potential accumulation of toxic trace elements in soils during enhanced rock weathering, European Journal of Soil Science, 1–14, https://doi.org/10.1111/ejss.13343, 2023. 

Dupla, X., Claustre, R., Bonvin, E., Graf, I., Le Bayon, R. C., and Grand, S.: Let the dust settle: Impact of enhanced rock weathering on soil biological, physical, and geochemical fertility, Science of the Total Environment, 954, https://doi.org/10.1016/j.scitotenv.2024.176297, 2024. 

Farooqi, Z. U. R., Sabir, M., Zeeshan, N., Naveed, K., and Hussain, M. M.: Enhancing Carbon Sequestration Using Organic Amendments and Agricultural Practices, in: Carbon Capture, Utilization and Sequestration, edited by: Ramesh, S., IntechOpen, London, UK, Chap. 2, 17–36, https://doi.org/10.5772/intechopen.79336, 2018. 

Fuss, S., Lamb, W. F., Callaghan, M. W., Hilaire, J., Creutzig, F., Amann, T., Beringer, T., De Oliveira Garcia, W., Hartmann, J., Khanna, T., Luderer, G., Nemet, G. F., Rogelj, J., Smith, P., Vicente, J. V., Wilcox, J., Del Mar Zamora Dominguez, M., and Minx, J. C.: Negative emissions – Part 2: Costs, potentials and side effects, Environmental Research Letters, 13, https://doi.org/10.1088/1748-9326/aabf9f, 2018. 

Griffin, D. E., Wang, D., Parikh, S. J., and Scow, K. M.: Short-lived effects of walnut shell biochar on soils and crop yields in a long-term field experiment, Agriculture, Ecosystems and Environment, 236, 21–29, https://doi.org/10.1016/j.agee.2016.11.002, 2017. 

Haque, F., Santos, R. M., and Chiang, Y. W.: CO2 sequestration by wollastonite-amended agricultural soils – An Ontario field study, International Journal of Greenhouse Gas Control, 97, 103017, https://doi.org/10.1016/j.ijggc.2020.103017, 2020a. 

Haque, F., Santos, R. M., and Chiang, Y. W.: Optimizing Inorganic Carbon Sequestration and Crop Yield With Wollastonite Soil Amendment in a Microplot Study, Frontiers in Plant Science, 11, 1–12, https://doi.org/10.3389/fpls.2020.01012, 2020b. 

Haque, F., Santos, R. M., and Chiang, Y. W.: Urban Farming with Enhanced Rock Weathering As a Prospective Climate Stabilization Wedge, Environmental Science and Technology, 10–13, https://doi.org/10.1021/acs.est.1c04111, 2021. 

Honvault, N., Tiouchichine, M. L., Sauze, J., Piel, C., Landais, D., Devidal, S., Gritti, E., Bosch, D., and Milcu, A.: Additive effects of basalt enhanced weathering and biochar co-application on carbon sequestration, soil nutrient status and plant performance in a mesocosm experiment, Applied Geochemistry, 169, https://doi.org/10.1016/j.apgeochem.2024.106054, 2024. 

Iff, N., Renforth, P., and Pogge von Strandmann, P. A. E.: The dissolution of olivine added to soil at 32 °C: the fate of weathering products and its implications for enhanced weathering at different temperatures, Frontiers in Climate, 6, 1–18, https://doi.org/10.3389/fclim.2024.1252210, 2024. 

IPCC: Summary for Policymakers, Climate Change 2021: The Physical Science Basis. Contribution of Working Group I to the Sixth Assessment Report of the Intergovernmental Panel on Climate Change, https://doi.org/10.1017/9781009157896.001, 2021. 

Kantola, I. B., Blanc-Betes, E., Masters, M. D., DeLucia, E. H., Marklein, A., Moore, C. E., Haden, A. Von, Bernacchi, C. J., Wolf, A., Epihov, D. Z., Beerling, D. J., and Delucia, E. H.: Improved net carbon budgets in the US Midwest through direct measured impacts of enhanced weathering, Global Change Biology, 29, 1–17, https://doi.org/10.1111/gcb.16903, 2023. 

Kelland, M. E., Wade, P. W., Lewis, A. L., Taylor, L. L., Sarkar, B., Andrews, M. G., Lomas, M. R., Cotton, T. E. A., Kemp, S. J., James, R. H., Pearce, C. R., Hartley, S. E., Hodson, M. E., Leake, J. R., Banwart, S. A., and Beerling, D. J.: Increased yield and CO2 sequestration potential with the C4 cereal Sorghum bicolor cultivated in basaltic rock dust-amended agricultural soil, Global Change Biology, 26, 3658–3676, https://doi.org/10.1111/gcb.15089, 2020. 

Laird, D. A., Novak, J. M., Collins, H. P., Ippolito, J. A., Karlen, D. L., Lentz, R. D., Sistani, K. R., Spokas, K., and Van Pelt, R. S.: Multi-year and multi-location soil quality and crop biomass yield responses to hardwood fast pyrolysis biochar, Geoderma, 289, 46–53, https://doi.org/10.1016/j.geoderma.2016.11.025, 2017. 

Larkin, C. S., Andrews, M. G., Pearce, C. R., Yeong, K. L., Beerling, D. J., Bellamy, J., Benedick, S., Freckleton, R. P., Goring-harford, H., Sadekar, S., and James, R. H.: Quantification of CO2 removal in a large-scale enhanced weathering field trial on an oil palm plantation in Sabah, Malaysia, Frontiers in Climate, 4, https://doi.org/10.3389/fclim.2022.959229, 2022. 

Liu, X., Zhang, A., Ji, C., Joseph, S., Bian, R., Li, L., Pan, G., and Paz-Ferreiro, J.: Biochar's effect on crop productivity and the dependence on experimental conditions-a meta-analysis of literature data, Plant and Soil, 373, 583–594, https://doi.org/10.1007/s11104-013-1806-x, 2013. 

Mei, Y., Zhuang, S., and Wang, J.: Adsorption of heavy metals by biochar in aqueous solution: A review, Science of the Total Environment, 968, 178898, https://doi.org/10.1016/j.scitotenv.2025.178898, 2025. 

Meng, L., Wu, Y., Mu, M., Wang, Z., Chen, Z., Wang, L., Ma, Z., Cui, G., and Yin, X.: Effects of different concentrations of biochar amendments and Pb toxicity on rhizosphere soil characteristics and bacterial community of red clover (Trifolium pretense L.), Frontiers in Plant Science, 14, 1–13, https://doi.org/10.3389/fpls.2023.1112002, 2023. 

Niron, H., Vienne, A., Frings, P., Poetra, R., and Vicca, S.: Exploring the synergy of enhanced weathering and Bacillus subtilis: A promising strategy for sustainable agriculture, Global Change Biology, 30, 1–18, https://doi.org/10.1111/gcb.17511, 2024. 

Palandri, J. L. and Kharaka, Y. K.: A compilation of rate parameters of water-mineral interaction kinetics for application to geochemical modeling, USGS Open File Report, 71, 2004–1068, https://doi.org/10.3133/ofr20041068, 2004. 

Pescatore, A., Grassi, C., Rizzo, A. M., Orlandini, S., and Napoli, M.: Effects of biochar on berseem clover (Trifolium alexandrinum L.) growth and heavy metal (Cd, Cr, Cu, Ni, Pb, and Zn) accumulation, Chemosphere, 287, 131986, https://doi.org/10.1016/j.chemosphere.2021.131986, 2022. 

Pogge von Strandmann, P. A. E., He, X., Zhou, Y., and Wilson, D. J.: Comparing open versus closed system weathering experiments using lithium isotopes, Applied Geochemistry, 189, 106458, https://doi.org/10.1016/j.apgeochem.2025.106458, 2025. 

Power, I. M., Hatten, V. N. J., Guo, M., Rausis, K., and Klyn-Hesselink, H.: Are enhanced rock weathering rates overestimated? A few geochemical and mineralogical pitfalls, Frontiers in Climate, 6, 1–9, https://doi.org/10.3389/fclim.2024.1510747, 2025. 

Rijnders, J., Vienne, A., and Vicca, S.: Effects of basalt, concrete fines, and steel slag on maize growth and heavy metal accumulation in an enhanced weathering experiment, Biogeosciences, 22, 2803–2825, https://doi.org/10.5194/bg-22-2803-2025, 2025. 

Rogelj, J., Shindell, D., Jiang, K., Fifita, S., Forster, P., Ginzburg, C., Handa, C., Kheshgi, H., Kobayashi, S., Kriegler, E., Mundaca, L., Séférian, R., and Vilariño, M. V.: Mitigation Pathways Compatible with 1.5 °C in the Context of Sustainable Development, in: Global Warming of 1.5 °C. An IPCC Special Report on the impacts of global warming of 1.5 °C above pre-industrial levels and related global greenhouse gas emission pathways, in the context of strengthening the global response to the threat of climate change, sustainable development, and efforts to eradicate poverty, edited by: Masson-Delmotte, V., Zhai, P., Pörtner, H.-O., Roberts, D., Skea, J., Shukla, P. R., Pirani, A., Moufouma-Okia, W., Péan, C., Pidcock, R., Connors, S., Matthews, J. B. R., Chen, Y., Zhou, X., Gomis, M. I., Lonnoy, E., Maycock, T., Tignor, M., and Waterfield, T., Cambridge University Press, Cambridge, UK and New York, NY, USA, Chap. 2, 93–174, https://doi.org/10.1017/9781009157940.004, 2018. 

Sanei, H., Rudra, A., Zia, M., Kousted, S., Sindlev, B., Zheng, X., Nielsen, B., and Ingermann, H.: Assessing biochar's permanence: An inertinite benchmark, International Journal of Coal Geology, 281, https://doi.org/10.1016/j.coal.2023.104409, 2024. 

Silva Gonzaga, M. I., Oliveira da Silva, P. S., Carlos de Jesus Santos, J., and Ganassali de Oliveira Junior, L. F.: Biochar increases plant water use efficiency and biomass production while reducing Cu concentration in Brassica juncea L. in a Cu-contaminated soil, Ecotoxicology and Environmental Safety, 183, 109557, https://doi.org/10.1016/j.ecoenv.2019.109557, 2019. 

Steinwidder, L., Boito, L., Frings, P. J., Niron, H., Rijnders, J., de Schutter, A., Vienne, A., and Vicca, S.: Beyond Inorganic C: Soil Organic C as a Key Pathway for Carbon Sequestration in Enhanced Weathering, Global Change Biology, 31, https://doi.org/10.1111/gcb.70340, 2025. 

Sun, S. S., Ao, M., Geng, K. R., Chen, J. Q., Deng, T. H. B., Li, J. J., Guan, Z. T., Mo, B. L., Liu, T., Yang, W. J., Tang, Y. T., and Qiu, R. L.: Enrichment and speciation of chromium during basalt weathering: Insights from variably weathered profiles in the Leizhou Peninsula, South China, Science of the Total Environment, 822, 153304, https://doi.org/10.1016/j.scitotenv.2022.153304, 2022. 

Taylor, L., Driscoll, C., Groffman, P., Rau, G., Blum, J., and Beerling, D.: Increased carbon capture by a silicate-treated forested watershed affected by acid deposition, Biogeosciences, 18, 169–188, https://doi.org/10.5194/bg-18-169-2021, 2021. 

Tessier, A., Campbell, P. G. C., and Bisson, M.: Sequential Extraction Procedure for the Speciation of Particulate Trace Metals, Analytical Chemistry, 51, 844–851, https://doi.org/10.1021/ac50043a017, 1979. 

Van Bemmelen, J.: Über Die Bestimmung Des Wassers, Des Humus, Des Schwefels, Der in Den Colloïdalen Silikaten Gebundenen Kieselsäure, Des Mangans U. S. W. Im Ackerboden, Die Landwirthschaftlichen Versuchs-Stationen, 37, 279–290, 1890. 

van Raffe, F., Comans, R. N. J., and Groenenberg, J. E.: Chromium(III) Binding to Purified Fulvic and Humic Acids and Their Solid-Solution Partitioning and Speciation in Soil, ACS Earth and Space Chemistry, 9, 1815–1824, https://doi.org/10.1021/acsearthspacechem.5c00075, 2025.  

Vienne, A.: Belfast Upsurge project: Basalt + Biochar experiment with clover and mustard plants, Zenodo [data set], https://doi.org/10.5281/zenodo.15001309, 2025. 

Vienne, A., Frings, P., Poblador, S., Steinwidder, L., Rijnders, J., Schoelynck, J., Vinduskova, O., and Vicca, S.: Earthworms in an enhanced weathering mesocosm experiment: Effects on soil carbon sequestration, base cation exchange and soil CO2 efflux, Soil Biology and Biochemistry, 199, 109596, https://doi.org/10.1016/j.soilbio.2024.109596, 2024. 

Vienne, A., Frings, P., Rijnders, J., Suhrhoff, T. J., Reershemius, T., Poetra, R. P., Hartmann, J., Niron, H., Estrada, M. P., Steinwidder, L., Boito, L., and Vicca, S.: Weathering without inorganic CDR revealed through cation tracing, EGUsphere [preprint], https://doi.org/10.5194/egusphere-2025-1667, 2025. 

Viotti, P., Marzeddu, S., Antonucci, A., Décima, M. A., Lovascio, P., Tatti, F., and Boni, M. R.: Biochar as Alternative Material for Heavy Metal Adsorption from Groundwaters: Lab-Scale (Column) Experiment Review, Materials, 17, 1–53, https://doi.org/10.3390/ma17040809, 2024. 

Vorrath, M.-E., Amann, T., Meyer, J., Hagemann, N., Aldrich, C., Börker, J., Seedtke, M., Hagens, M., Eschenbach, A., and Hartmann, J.: Pyrogenic carbon and carbonating minerals for carbon capture and storage (PyMiCCS) part II: organic and inorganic carbon dioxide removal in an Oxisol, Frontiers in Climate, 1–18, https://doi.org/10.3389/fclim.2025.1592454, 2025. 

Wang, Q., Wang, B., Ma, Y., Zhang, X., Lyu, W., and Chen, M.: Stabilization of heavy metals in biochar derived from plants in antimony mining area and its environmental implications, Environmental Pollution, 300, 118902, https://doi.org/10.1016/j.envpol.2022.118902, 2022. 

Xu, Y., Axe, L., Boonfueng, T., Tyson, T. A., Trivedi, P., and Pandya, K.: Ni(II) complexation to amorphous hydrous ferric oxide: An X-ray absorption spectroscopy study, Journal of Colloid and Interface Science, 314, 10–17, https://doi.org/10.1016/j.jcis.2007.05.037, 2007. 

Yusuf, M., Fariduddin, Q., Hayat, S., and Ahmad, A.: Nickel: An overview of uptake, essentiality and toxicity in plants, Bulletin of Environmental Contamination and Toxicology, 86, 1–17, https://doi.org/10.1007/s00128-010-0171-1, 2011. 

Zang, Y., Wang, M., Shohag, M. J. I., Lu, L., He, T., Liao, C., Zhang, Z., Chen, J., You, X., Zhao, Y., Wei, Y., and Tian, S.: Biochar performance for preventing cadmium and arsenic accumulation, and the health risks associated with mustard (Brassica juncea) grown in co-contaminated soils, Ecotoxicology and Environmental Safety, 263, 115216, https://doi.org/10.1016/j.ecoenv.2023.115216, 2023. 

Zhou, R., Zhang, M., and Shao, S.: Optimization of target biochar for the adsorption of target heavy metal ion, Scientific Reports, 12, 1–17, https://doi.org/10.1038/s41598-022-17901-w, 2022. 

Download
Short summary
We explored whether adding crushed volcanic rock and charcoal to soil could help store inorganic carbon, improve plant growth and reduce harmful metals in crops. The crushed rock did not increase plant growth or inorganic carbon in soil and nutrients released from the rock may have moved into other stable soil forms rather than forming carbonates. In contrast, charcoal improved plant growth and reduced metal uptake. Using both rocks and charcoal together offered no extra observable benefits.
Share
Altmetrics
Final-revised paper
Preprint